DOI: 10.11817/j.ysxb.1004.0609.2021-37952
热处理对Fe基非晶涂层耐磨及耐腐蚀性能的影响
王海博1, 2,李春燕1, 2,王顺平1,李金玲1,寇生中1, 2
(1. 兰州理工大学 省部共建有色金属先进加工与再利用国家重点实验室,兰州 730000;
2. 兰州理工大学 材料科学与工程学院,兰州 730000)
摘 要:采用超音速火焰喷涂(HVOF)制备了(Fe0.5Ni0.2)61Cr9Co6Si1.5B17.5Nb5非晶涂层,探究了不同热处理温度和时间对非晶涂层的磨损性能和腐蚀性能的影响。利用X射线衍射仪(XRD)、同步热分析仪(DSC)、透射电子显微镜(TEM)、扫描电子显微镜(SEM)、高速往复摩擦磨损试验机、电化学工作站等仪器对组织结构及相应的性能进行检测。结果表明,随着热处理温度和时间的增加,涂层仍保持非晶态,涂层孔隙率降低,涂层表面氧化磨损和剥层磨损减轻,磨痕表面更加平整;在人工海水溶液中有更宽的钝化区间和低的钝化电流密度(Jpass),热处理后的非晶涂层耐磨、耐腐性能得到改善提升。当涂层在480 ℃热处理1110 min时,涂层出现FeNi3纳米晶体相,涂层有最低孔隙率为0.6%,磨损率为1.6×10-5 mm3/(N·m),且涂层有最低的自腐蚀电流密度(Jcorr) 4.591×10-8 A/cm2。
关键词:非晶涂层;热处理;磨损性能;腐蚀性能
文章编号:1004-0609(2021)-xx-- 中图分类号:TG139+.8 文献标志码:A
引文格式:王海博, 李春燕, 王顺平, 等. 热处理对Fe基非晶涂层耐磨及耐腐蚀性能的影响[J]. 中国有色金属学报, 2021, 31(x): xxxx-xxxx. DOI: 10.11817/j.ysxb.1004.0609.2021-37952
WANG Hai-bo, LI Chun-yan, WANG Shun-ping, et al. Effect of heat-treated on wear resistance and corrosion resistance of Fe-based amorphous coatings[J]. The Chinese Journal of Nonferrous Metals, 2021, 31(x): xxxx-xxxx. DOI: 10.11817/j.ysxb.1004.0609.2021-37952
非晶合金,也称金属玻璃(MG),其原子排列具有长程无序、短程有序的结构特征。由于非晶合金内部在三维空间呈拓扑无序状态,不存在成分偏析、夹杂物和第二相等晶体缺陷,具有比常规晶体更致密的无序堆积结构。因此具有一些明显优于晶态材料的力学、物理及化学性能,例如高强度、高硬度、优异的耐磨、耐腐蚀性能及磁学性能,已成为备受人们关注的新一代合金材料[1-5]。同时,非晶合金在电子技术、纳米技术、医用卫生领域及航空航天和海洋防腐领域具有广阔的应用前景。
其中Fe基非晶合金由于具有低成本、高强度、高硬度和优异的耐磨、耐腐蚀性能等优势作为材料科研工作者的重点研究工作之一[6-8]。而将Fe基非晶粉末制备成涂层,对延长工业生产设备的使用寿命、提高海洋工程领域制造装备的耐磨、耐腐蚀性能等提供了可行的方法。超音速火焰喷涂(HVOF)作为热喷涂技术的一种,于上世纪80年代兴起,多被用来制备防腐、耐磨合金涂层,因其在喷涂时提高熔滴射流速度的同时,也降低了原料颗粒由于过热引起的氧化等问题,所以制备的涂层孔隙率较低,涂层质量高[9-10]。非晶合金的形成条件要求冷却速率要达到105 K/s以上,而HVOF的冷却速率可以达到107 K/s左右,这足以满足非晶合金成形的冷却速度。因此,HVOF作为制备Fe基非晶涂层优良技术之一,为Fe基非晶合金走向工业化和商业化提供了更有利的条件[11-12]。随着HVOF制备Fe基非晶涂层技术的不断成熟,人们对制备高性能的Fe基非晶涂层提出了更高要求。研究者发现在Fe基非晶粉末中混入第二相颗粒可以改善涂层的性能,如在非晶粉末中混入WC或Al2O3颗粒可提高非晶涂层的耐腐蚀性能[13-14];添加B4C颗粒可以提高非晶涂层的断裂韧性和耐磨性能[15];加入316L SS颗粒可提高涂层的结合强度[16]。而不同的增强颗粒对Fe基非晶涂层的性能影响是不同的,如316L SS颗粒虽能增加Fe基非晶涂层的结合强度,但由于316L SS颗粒在热喷涂过程中具有强烈的氧化倾向,在 316L SS 相/基体界面形成了Fe3O4纳米粒子,这些 Fe3O4纳米粒子成为涂层高电化学活性的原因,而使得涂层耐腐性能下降。除了添加第二相颗粒增强的方法,热处理和低温循环处理的方式同样可以提高Fe基非晶涂层的性能[17-19]。上述方法均能改善Fe基非晶涂层的性能,而通过热处理改善Fe基非晶涂层的方法虽已有一定的研究,但该方法对非晶涂层的结构演变及耐磨耐腐性能的影响还有待进一步探索。
本实验采用HVOF制备Fe基非晶涂层,分析不同热处理温度和时间对非晶涂层的结构演变及耐磨、耐腐蚀性能的影响,为热处理对Fe基非晶涂层的性能的影响提供更多的理论研究依据。
1 实验
利用真空气雾化法制备粒径为18~48 μm的 (Fe0.5Ni0.2)61Cr9Co6Si1.5B17.5Nb5非晶粉末。采用郑州立佳HV-80-JP超音速火焰喷涂(HVOF)设备在尺寸为45 mm×500 mm×10 mm A32船体用钢表面制备Fe基非晶涂层,所制备的非晶涂层厚度约为650±30 μm。具体的喷涂工艺参数为:氧气流量为53 m3/h,煤油流量为22 L/h,送粉速率为22 g/min,喷涂速率为400 mm/s。非晶涂层热处理设备选用天津中环管式炉,为避免热处理过程中涂层出现氧化,在管式炉中通入氩气保护。热处理温度及保温时间根据等温差示扫描量热(DSC)实验结果确定。
采用德国林赛斯 STA PT1000同步热分析仪对非晶涂层进行等温DSC和升温DSC分析,升温速率分别为0.83和0.33 ℃/min,涂层质量小于10 mg。通过升温DSC确定涂层的过冷液相区(ΔTx=Tx-Tg;Tx:晶化温度;Tg:玻璃转化温度)。使用D/max-2400 X射线衍射仪(XRD)对非晶涂层进行物相结构分析,XRD射线源为铜靶Kα,扫描速度为2 (°)/min,步长为0.01°,扫描范围20°~80°。采用FEI TF200X透射电子显微镜(TEM)观察非晶涂层的亚显微结构,非晶涂层样品采用砂纸水磨至厚度为80 μm,将其冲成直径为3 mm的薄片,再采用离子减薄进行精确减薄。显微硬度采用HV-1000显微硬度仪,对非晶涂层侧面进行显微硬度测试,显微硬度仪施加载荷为200 g,保载时间为15 s。非晶涂层磨损性能采用MFT-R4000室温高速往复摩擦磨损试验机在干摩擦条件下测试,使用直径6 mm的GCr15钢球作为对磨件,非晶涂层表面用砂纸打磨,以保证摩擦磨损实验涂层表面具有同一粗糙度(Ra=0.36 μm),滑动行程为5 mm,滑动速度为25 mm/s,滑动时间为30 min,施加载荷为10 N。腐蚀性能测试采用上海华晨HC-600e电化学工作站,铂片电极作为辅助电极,饱和甘汞电极为参比电极,测试样品作为工作电极。样品在室温下100 mL人工海水[20](24.53 g/L NaCl, 5.20 g/L MgCl2, 4.09 g/L Na2SO4, 1.16 g/L CaCl2, 0.695 g/L KCl, 0.201 g/L NaHCO3, 0.101 g/L KBr, 0.027 g/L H3BO3, 0.025 g/L SrCl2, 0.003 g/L NaF, PH=8.2)溶液中进行测试。将样品在人工海水溶液中浸泡30 min,待开路电位稳定后开始实验,动态极化曲线以0.005 V/s的固定速率扫描。涂层侧面形貌及磨损后磨痕形貌采用FEI Quanta 450 FEG扫描电子显微镜(SEM)和LSM 800激光共聚焦光学显微镜(OM)进行观察。孔隙率测试采用Image J软件,为保证孔隙率测试结果的准确性,每个样品测试三次,取平均值。采用美国KLA-Tencor公司生产的非接触式光学轮廓仪检测计算摩擦磨损后的磨损体积,进而得出磨损率(Q)。
2 结果与讨论
2.1 非晶涂层热处理温度的选择
在非晶涂层的过冷液相区ΔTx(447.2~505.6 ℃,见图1插图)及以下选取440、460和480 ℃ 3个温度进行等温DSC实验,为保证升温时间对保温时非晶合金晶化放热影响较小,采取快速升温(0.83 ℃/s)到440、460和480 ℃进行保温。结果如图1所示,非晶涂层在440、460和480 ℃保温60 min均没有观察到放热晶化现象。为探究不同温度及保温时间对非晶涂层的结构及性能影响,所以本实验选取热处理温度及保温时间为440 ℃保温20、40和60 min,460 ℃保温20、40和60 min,480 ℃保温20、40和60 min 和480 ℃更长的保温时间,进一步通过控制保温时间来实现调控涂层的晶化程度。
2.2 非晶涂层热处理后组织结构

图1 非晶涂层不同温度等温DSC曲线及未处理原始非晶涂层升温DSC曲线(插图)
Fig. 1 Isothermal DSC curve of amorphous coating at different temperatures and DSC cure of original amorphous coating (inset)

图2 XRD衍射图谱
Fig. 2 XRD patterns
图2所示为非晶涂层在440、460和480 ℃热处理保温不同时间的XRD谱,非晶涂层分别保温20、40和60 min时均没有尖锐的晶体峰存在,均为宽化的非晶漫散峰,涂层仍保持非晶态(见图2(a)~(c))。为进一步探究热处理时间对非晶涂层晶化程度的影响,对涂层进行480 ℃,保温90~1110min的热处理,发现在1110 min时,XRD衍射图谱中出现强度较弱的晶体峰,为FeNi3相(见图1(d))。这也表明该非晶涂层具有较好的非晶结构稳定性,在一定的低温条件(低于Tx)下可长时间使用仍可保持非晶态。
为了进一步了解非晶涂层在480 ℃热处理保温1110 min的微观结构,采用TEM对其进行了形貌观察(见图3)。图3(a)可以看出,非晶涂层明场像为灰色均一衬度,并未发现晶体结构,但涂层的选区电子衍射(SAED)花样出现了少量明锐的衍射斑点(见图3(a)插图)。图3(b)为对应的高分辨透射电子显微(HRTEM)照片,可观察到一些纳米级晶体相出现,其相应的晶面间距分别为2.02
和1.71
,通过与标准PDF卡片数据比对,发现其与FeNi3在[111](标准晶面间距2.04
)和[200](标准晶面间距1.77
)数值相匹配,与XRD衍射图谱分析相一致。
图4(a)~(c)所示为非晶涂层在440、460和 480 ℃热处理保温60 min的截面OM形貌图,涂层截面致密且与基体结合紧密,没有出现微裂纹,随着热处理温度的升高,涂层孔隙率降低,经440、460和480 ℃热处理涂层的孔隙率分别约为0.8、 0.7和0.7%,均低于原始未处理的非晶涂层(0.9%)。当涂层在440 ℃热处理保温20、40和60 min,涂层的孔隙率基本没有变化,均为0.8%左右;460和480 ℃热处理不同保温时间孔隙率也均基本没有变化。而涂层在480 ℃热处理1110 min时,涂层的孔隙率再次降低,约为0.6%(见图4(d))。这是由于随着热处理时间的增加,非晶涂层内部原子随着时间发生缓慢的变化,逐渐向稳定原子排列方式转变,而这些原子缓慢发生固态扩散进行重新排序时将淹没涂层中孔隙,导致涂层孔隙率降低,变得更致密[21]。

图3 非晶涂层在480 ℃热处理保温1110 min TEM像
Fig. 3 TEM image of amorphous coating heat-treated at 480 ℃ for 1110 min

图4 非晶涂层在不同热处理温度和保温时间的截面OM图片
Fig. 4 Cross-section SEM image of different heat-treated temperatures and holding times
2.3 非晶涂层热处理后显微硬度
图5所示为非晶涂层在440、460和480 ℃分别热处理20、40、60和1110 min的涂层截面显微硬度分布柱状图。从图中可以看出,随着热处理温度和保温时间的增加,涂层孔隙率减少,变得更致密,涂层显微硬度有上升的趋势,均高于未热处理的原始非晶涂层的平均值(653.4 HV0.2)。当热处理温度为480 ℃保温1110 min,非晶涂层内出现FeNi3纳米晶体相,弥散的分布在非晶基体中,涂层抵抗塑性变形能力增强,此时涂层有最大的显微硬度,显微硬度平均值为931.7 HV0.2。

图5 非晶涂层热处理截面显微硬度分布柱状图
Fig. 5 Cross-section micro-hardness distribution histogram of heat-treated amorphous coating
2.4 非晶涂层热处理后磨损行为
图6(a)~(j)所示为非晶涂层在施加载荷为10 N不同温度热处理和保温时间的磨痕SEM像,热处理后的涂层表面磨痕存在剥落坑(图中蓝色箭头)和氧化黏附层(图中红色箭头),磨损机制与未处理的原始非晶涂层一样仍为氧化磨损和剥层磨损,但磨损程度显著减轻。如图6(a)~(c)为440 ℃热处理分别保温20、40和60 min,随着热处理保温时间的增加,磨痕表面更加光滑,剥落坑减少,这表明随着热处理的时间增加,涂层表面磨损逐渐减弱,且随着热处理温度的增加,这种现象更明显。当热处理温度为460(见图6(d)~(f))和480 ℃(见图6(g)~(i))分别保温20、40和60 min时,涂层磨痕表面剥落坑和氧化黏着层明显减少,涂层热处理温度为480 ℃保温60 min时,涂层磨痕表面相对光滑,仅存在少量的剥落坑和氧化黏着层。这是由于非晶涂层在低于Tx温度进行热处理,涂层内原子扩散重排将淹没孔隙,降低涂层孔隙率,涂层变得更致密,剥落坑的诱因减少,涂层的耐磨损性能改善[22]。
图6(j)、(k)所示为480 ℃热处理保温1110 min非晶涂层磨痕形貌和磨痕三维形貌图,涂层磨痕表面平整,剥落和氧化均较少。这是由于该温度下热处理的非晶涂层,结构致密、孔隙率下降,且非晶基体内存在弥散分布的FeNi3纳米晶体相,这些纳米晶体相在一定程度上可以起到弥散强化的作用,在磨损过程中,可阻止材料去除,提高了非晶涂层的耐磨性[23-24]。此外,也有大量研究表明,材料表面硬度的提高有利于提高涂层的耐磨性[25-26]。通过磨损率公式Q=Vm/(SL)[27],其中Vm是磨损体积(mm3),S是滑动距离(m),L为施加载荷(N),非晶涂层在480 ℃热处理保温1110 min的磨损率为1.6×10-5 mm3/(N·m),磨损率低于未处理的原始非晶涂层(4.5×10-5 mm3/(N·m))。
2.5 非晶涂层热处理后腐蚀行为
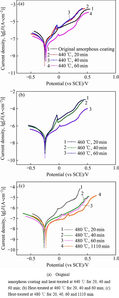
图7所示为非晶涂层在人工海水溶液中,440、460和480 ℃热处理保温20、40、60和1110 min的动电位极化曲线图。从图中可以看出,热处理后非晶涂层的自腐蚀电位(φcorr)均在-0.25 V左右,与未处理的原始非晶涂层φcorr基本一致,但相比原始未处理的非晶涂层,经过热处理后的非晶涂层自腐蚀电流密度(Jcorr)有所降低。在同一热处理温度,不同热处理时间,如图7(a),可以看出随着非晶涂层热处理时间的增加,涂层的Jcorr略有降低。但在同一时间,不同温度的热处理,如图7(a)~(c),非晶涂层分别在440、460和480 ℃热处理60 min,Jcorr分别为1.041×10-7、9.082×10-8和7.794×10-8 A/cm2,随着热处理温度的增加,涂层的Jcorr也呈现降低的趋势,当涂层在480 ℃热处理保温1110 min时,涂层有最低的Jcorr,为4.591×10-8 A/cm2。这是由于热处理降低了涂层的孔隙率,使非晶涂层更致密,减少了腐蚀介质通过孔隙与涂层内部进一步接触,减缓涂层内部腐蚀,提高涂层的耐腐蚀性能。
经过热处理后的涂层均存在稳定的钝化区间和低的钝化电流密度(Jpass)。从图7(c)中480 ℃热处理保温1110 min的动电位极化曲线可以看出,该保温时间下,涂层有最宽的钝化区间和低的Jpass。这是由于该保温时间下涂层存在FeNi3纳米晶体相,已有研究表明,添加Ni元素对提高Fe基非晶合金的耐腐蚀性非常有效[28-29]。因此,热处理使涂层形成的纳米晶体相,这些纳米晶体相富含Ni元素,比基体非晶相具有更好的耐蚀性,使涂层在人工海水溶液中的耐腐性能提高。

图6 施加载荷为10 N的不同热处理温度和保温时间的非晶涂层磨痕SEM形貌和磨痕表面三维形貌
Fig. 6 SEM wear scar morphology of amorphous coating with different heat-treated temperatures and holding times under the applied load of 10 N and three-dimensional surface morphology of wear scar

图7 非晶涂层在人工海水溶液中动电位极化曲线图
Fig. 7 Potentiodynamic polarization curves of amorphous coating in artificial seawater solution
5 结论
本实验对(Fe0.5Ni0.2)61Cr9Co6Si1.5B17.5Nb5非晶涂层进行了440、460和480 ℃热处理分别保温20、40和60 min和480 ℃热处理保温90~1110 min,研究了不同热处理温度和时间对非晶涂层的结构及性能的影响,并对热处理后的涂层结构及耐磨、耐腐蚀性能等进行了检测,得到以下结论:
1) 非晶涂层在440、460和480 ℃热处理保温20、40和60 min均为非晶态,但当热处理温度为480 ℃保温1110 min时,涂层晶化,生成FeNi3纳米晶体相。
2) 非晶涂层随着热处理温度和时间的增加,涂层变得致密,孔隙率降低,显微硬度升高,均优于未处理的原始非晶涂层。涂层在480 ℃热处理保温1110 min有最小的孔隙率,为0.6%,此时显微硬度有最大值,为931.7 HV0.2。
3) 随着热处理温度和时间的增加,非晶涂层的耐磨性能有明显改善,磨痕表面更平整,剥落坑和氧化黏着层均减少,磨损机制仍为氧化磨损和剥落磨损,但要比未处理的原始非晶涂层磨损程度显著减弱,当热处理温度为480 ℃保温1110 min时,涂层的磨损率为1.6×10-5 mm3/(N·m)。
4) 随着热处理温度和时间的增加,非晶涂层在人工海水溶液中φcorr均在-0.25 V左右,Jcorr下降,均低于未处理的原始非晶涂层,当热处理温度为480 ℃保温1110 min,涂层有较低的Jcorr,为4.591×10-8 A·cm-2。且热处理后的非晶涂层均表现出宽的钝化区间和低的Jpass。
REFERENCES
[1] 惠希东, 陈国良. 块体非晶合金[M]. 北京: 化学工业出版社, 2006.
HUI Xi-dong, CHEN Guo-liang. Bulk amorphous alloy[M]. Beijing: Chemical Industry Press, 2006.
[2] WANG W H, DONG C, SHEK C H. Bulk metallic glasses[J]. 2004, 44(2/3): 45-89.
[3] JOHNSON W L. Bulk glass-forming metallic alloys: Science and technology[J]. MRS Bulletin, 1999, 24(10): 42-56.
[4] AXINTE E. Metallic glasses from ‘‘alchemy’’ to pure science: Present and future of design, processing and applications of glassy metals[J]. Materials & Design, 2012, 35: 518-556.
[5] QIAO J C, WANG Q, PELLETIER J M, et al. Structural heterogeneities and mechanical behavior of amorphous alloys[J]. Progress in Materials Science, 2019, 104: 250-349.
[6] AXINTE E, CHIRILEANU M I. Recent progress in the industrialization of metallic glasses[J]. Recent Patents on Materials Science, 2012, 5(3): 213-221.
[7] WANG L, WANG J Q, SUN M. Mechanical properties of Fe-based bulk amorphous Fe41Co7Cr15Mo14C15B6Y2 alloy rods[J]. Chemical Physics Letters, 2020, 750: 137511.
[8] SI J J, WU Y D, WANG T, et al. Composition-controlled active-passive transition and corrosion behavior of Fe-Cr(Mo)-Zr-B bulk amorphous steels[J]. Applied Surface Science, 2018, 445: 496-504.
[9] BRANAGAN D J, S WANK W D, HAGGARD D C, et al. Wear-resistant amorphous and nanocomposite steel coatings[J]. Metallurgical and Materials Transactions A, 2001, 32(10): 2615-2621.
[10] QIN Y J, WU Y P, ZHANG J F, et al. Long-term corrosion behavior of HVOF sprayed FeCrSiBMn amorphous/ nanocrystalline coating[J]. Transactions of Nonferrous Metals Society of China, 2015, 25(4): 1144-1150.
[11] WANG S L, CHENG J C, YI S H, et al. Corrosion resistance of Fe-based amorphous metallic matrix coating fabricated by HVOF thermal spraying[J]. Transactions of Nonferrous Metals Society of China, 2014, 24(1): 146-151.
[12] HUANG B, ZHANG C, ZHANG G, et al. Wear and corrosion resistant performance of thermal-sprayed Fe-based amorphous coatings: A review[J]. Surface & Coatings Technology, 2019, 377: 124896.
[13] WANG G, XING C, TAO F, et al. Enhancement in the corrosion resistance of WC coatings by adding a Fe-based alloy in simulated seawater[J]. Surface & Coatings Technology, 2016, 305: 62-66.
[14] YASIR M, ZHANG C, WANG W, et al. Tribocorrosion behavior of Fe-based amorphous composite coating reinforced by Al2O3 in 3.5% NaCl solution[J]. Journal of Thermal Spray Technology, 2016, 25(8): 1-7.
[15] MOVAHEDI B. On the prospects of using nanoindentation and wear test to study the mechanical behavior of Fe-based metallic glass coating reinforced by B4C nanoparticles[J]. Metallurgical and Materials Transactions A, 2017, 48(3): 1474-1483.
[16] ZHOU H, ZHANG C, WANG W, et al. Microstructure and mechanical properties of Fe-based amorphous composite coatings reinforced by stainless steel powders[J]. Journal of Materials Science and Technology, 2015, 31(1): 43-47.
[17] ZHAI H M, LI X Q, LI W S, et al. Strategy for improving the wear-resistance properties of detonation sprayed Fe-based amorphous coatings by cryogenic cycling treatment[J]. Surface & Coatings Technology, 2021, 410: 126962.
[18] KANG Y H, CHEN Y M, WEN Y X, et al. Effects of structural relaxation and crystallization on the corrosion resistance of an Fe-based amorphous coating[J]. Journal of Non-Crystalline Solids, 2020, 550: 120378.
[19] [19] LI C Y, WANG H B, DING J Q, et al. Effects of heat treatment on HVOF-sprayed Fe-based amorphous coatings[J]. Surface Engineering, 2020: 1-9.
[20] CHEN J, WANG J Z, CHEN B, et al. Tribocorrosion behaviors of Inconel 625 alloy sliding against 316 Steel in seawater[J]. Tribology Transactions, 2011, 54(4): 514-522.
[21] 傅斌友. 含非晶涂层制备及其晶化规律研究[D]. 北京: 北京工业大学, 2009.
FU Bin-you. A study of crystallization behavior of amorphous containing coatings[D]. Beijing: Beijing University of Technology, 2009.
[22] 吴仡璇, 罗 强, 焦 津, 等. 热处理对Fe基非晶涂层结构与性能的影响[J]. 金属功能材料, 2016, 23(1): 12-16.
WU Yi-xuan, LUO Qiang, JIAO Jin, et al. Effect of heat treatment on the structure and properties of Fe-based amorphous coatings[J]. Metallic Functional Materials, 2016, 23(1): 12-16.
[23] 樊自拴, 潘继岗, 孙冬柏, 等. 热处理对铁基非晶合金涂层相组成及磨损性能的影响[J]. 材料热处理学报, 2008, 29(1): 120-123.
FAN Zi-shuan, PAN Ji-gang, SUN Dong-bai, et al. Influence of heat treatment on phase structure and wear characteristics of iron base amorphous alloy coatings[J]. Transactions of Materials and Heat Treatment, 2008, 29(1): 120-123.
[24] 程江波, 梁秀兵, 徐滨士, 等. 铁基非晶纳米晶涂层组织及磨损性能研究[J]. 材料工程, 2009(5): 17-21.
CHENG Jiang-bo, LIANG Xiu-bing, XU Bin-shi, et al. Microstructure and wear properties of Fe-based amorphous/nanocrystalline Coatings[J]. Journal of Materials Engineering, 2009(5): 17-21.
[25] MA H R, LI J W, JIAO J, et al. Wear resistance of Fe-based amorphous coatings prepared by AC-HVAF and HVOF[J]. Materials Science and Technology, 2016, 33(1): 65-71.
[26] TSOTSOS C, YEROKHIN A L, WILSON A D, et al. Tribological evaluation of AISI 304 stainless steel duplex treated by plasma electrolytic nitrocarburising and diamond-like carbon coating[J]. Wear, 2002, 253(9/10): 986-993.
[27] GREER A L, RUTHERFORD K L, HUTCHINGS I M. Wear resistance of amorphous alloys and related materials[J]. International Materials Reviews, 2002, 47(2): 87-112.
[28] CHANG C T, DING Y H, SHAO Y, et al. Corrosion behavior of Fe-based ferromagnetic (Fe, Ni)-B-Si-Nb bulk glassy alloys in aqueous electrolytes[J]. Journal of Non-Crystalline Solids, 2008, 354(40/41): 4609-4613.
[29] HASHIMOTO K, NAKA M, MASUMOTO T. Effect of nickel addition on corrosion resistance of amorphous iron base alloys[J]. Science Reports of the Research Institutes Tohoku University. Ser. A, Physics, Chemistry and Metallurgy, 1976, 26(1): 48-54.
Effect of heat-treated on wear resistance and corrosion resistance of Fe-based amorphous coatings
WANG Hai-bo1, 2, LI Chun-yan1, 2, WANG Shun-ping2, LI Jin-ling2, KOU Sheng-zhong1, 2
(1. State Key Laboratory of Advanced Processing and Recycling of Nonferrous Metals, Lanzhou University of Technology, Lanzhou 730000, China;
2. School of Materials Science and Engineering, Lanzhou University of Technology, Lanzhou 730000, China)
Abstract: The amorphous coating with composition of (Fe0.5Ni0.2)61Cr9Co6Si1.5B17.5Nb5 was prepared by high velocity oxy fuel (HVOF), and the effects of different heat-treated temperatures and times for the structure, wear and corrosion properties were explored. The structure corresponding property was analyzed by X-ray diffractometer (XRD), differential scanning calorimetry (DSC), transmission electron microscope (TEM), scanning electron microscope (SEM), wear test machine, electrochemical workstation etc. The results show that with the heat-treated temperatures increasing, the coatings remain amorphous structure, the porosity of the coatings decrease, the oxidation wear and delamination wear of the coatings surface reduce, and the wear scar surface of coatings smooth. The heat-treated amorphous coatings exhibit a wider passive region and low passive current density (Jpass) in the artificial seawater solution, and the wear resistance and corrosion resistance of the amorphous coatings have been improved. The FeNi3 nanocrystalline phase appears in the amorphous coating with heat-treated temperature of 480 ℃ for 1110 min. The coating has the lowest porosity of 0.6%, wear rate of 1.6×10-5 mm3/(N·m), and the lowest self-corroding current density (Jcorr) of 4.591×10-8 A/cm2.
Key words: amorphous coating; heat-treated; wear resistance; corrosion resistance
Foundation item: Projects(51861021, 51661016) supported by the National Natural Science Foundation of China; Project supported by the Hongliu First-class Discipline Construction Plan of Lanzhou University of Technology
Received date: 2021-03-23; Accepted date: 2021-07-14
Corresponding author: LI Chun-yan; Tel: +86-13669306976; E-mail: licywz@163.com
(编辑 )
基金项目:国家自然科学基金资助项目(51861021,51661016);兰州理工大学红柳一流学科建设计划项目
收稿日期:2021-03-23;修订日期:2021-07-14
通信作者:李春燕,教授,博士;电话:13669306976;E-mail:licywz@163.com