DOI:10.19476/j.ysxb.1004.0609.2017.06.012
挤压态阻燃钛合金高温变形行为及机理
孙欢迎1,刘翊安1,赵 军1,曹京霞2,黄 旭2
(1. 北华航天工业学院 材料工程学院,廊坊 065000;
2. 北京航空材料研究院,北京 100095)
摘 要:通过等温恒应变速率热模拟压缩试验,研究一种挤压态组织的阻燃钛合金在变形温度900~1150 ℃,应变速率0.001~1 s-1条件下的高温流变应力和组织演变,基于热压试验数据计算变形激活能。结果表明:此种阻燃钛合金流变应力-应变曲线具有应力峰值和流动软化特征,高温变形是扩散控制的过程,软化机制以动态回复为主,但在应变速率较高时会发生局部连续再结晶,而在应变速率较低时晶界运动比较明显。
关键词:阻燃钛合金;热变形;变形机制;组织转变
文章编号:1004-0609(2017)-06-1162-07 中图分类号:TG146.2 文献标志码:A
随着现代高性能航空发动机向高推重比发展,要求压气机的增压比增大,叶片与机匣间的间隙减小,但在高温、高压及高速气流条件下,常规钛合金容易起火燃烧。为了解决“钛火”问题,20世纪90年代初,美国普惠公司和Teledyne Wah Chang Albany(TWC)联合研制出Alloy C(Ti-35V-15Cr)阻燃钛合金,目前已应用于美国先进战略战斗机F22的F119发动机上[1-6]。在Alloy C原始成分的基础上加入少量Si和C元素,有望提高该合金的高温力学性能。
由于Ti-V-Cr系阻燃钛合金的合金化程度很高,再加上Si和C元素的引入,使得其高温工艺塑性很差,实践证明此类合金不能自由锻开坯,北京航空材料研究院等单位经过多年研究,采用包套挤压的工艺解决了该合金铸锭开坯的难题[7-11]。但阻燃钛合金铸锭经挤压开坯后的热变形性能也非常重要,国内关于这方面资料还未见报道。本文作者研究了挤压态阻燃钛合金(名义成分Ti-35V-15Cr-0.3Si-0.1C)的流变曲线、变形激活能、组织演变规律等内容,分析了该合金的热变形行为及机理,为挤压态阻燃钛合金后续热变形工艺的制定提供理论依据。
1 实验
试验材料名义成分Ti-35V-15Cr-0.3Si-0.1C,经3次真空自耗电弧熔炼(VAR)获得吨级铸锭,从铸锭上取料机械加工成挤压坯料,在钛合金坯料外加装45号钢包套,钛合金与包套之间隔一层保温材料。选取挤压温度1050 ℃、保温时间60 min、挤压比4进行挤压成形得到d 25 mm棒材。
图1(a)所示为阻燃钛合金挤压棒材纵向组织金相照片,可以清楚地看到挤压变形流线,原始铸态组织中均匀分布的枝条状碳化物呈现出方向性,倾向于与挤压流动方向平行,在碳化物周围产生大量再结晶小晶粒,但不同部位再结晶晶粒分布并不均匀,金属流动剧烈的区域再结晶晶粒几乎连成片状,此外还观察到碳化物发生断裂的现象。挤压棒材横向组织的金相照片如图1(b)所示,与图1(c)所示的铸态组织(图中黑色枝条状分布的第二相为碳化物)相比,可以看出,在原始铸态晶粒晶界与枝条状碳化物周围产生大量再结晶小晶粒。
从阻燃钛合金挤压棒材上取料,机械加工成d 10 mm×15 mm热压试样,试样轴向与挤压棒材方向相同。在Gleeble-1500型热模拟试验机上进行等温、恒应变速率热模拟压缩试验,利用径向传感器在试样变形过程中随时采集和记录试样的变形截面面积,加热方式为电阻加热,通过焊接在试样圆周中间部位的两个热电偶测定温度。变形过程中,温度、应变速率由计算机自动执行命令保持恒定,到预先设定的变形量后热压缩过程自动停止;同时计算机自动绘制出载荷-应变关系曲线,并转化为真应力-真应变曲线。试验条件如下:变形温度为900、950、1000、1050、1100、1150 ℃;应变速率为0.001、0.01、0.1、1 s-1;变形量为50%,保温时间5 min,变形后水冷。将变形后的试样沿轴向对半剖开,经金相砂纸打磨、电解抛光、腐蚀后,在金相显微镜下观察试样的显微组织。
2 结果与分析
2.1 真应力-真应变曲线分析
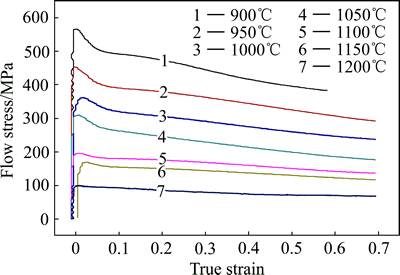
图2所示为挤压态阻燃钛合金在不同应变速率下的真应力-真应变曲线,可以看出。

图1 试验用阻燃钛合金的显微组织
Fig. 1 Initial microstructures of burn resistant titanium alloy

图2 挤压态阻燃钛合金不同应变速率下的真应力-真应变曲线
Fig. 2 True stress-strain curves of as-extruded burn resistant titanium alloy at different strain rates
1) 当应变速率一定时,变形温度越高,流变应力越小(1100和1150 ℃与此规律不符,推测与此温度区间内合金中的碳化物第二相的溶解现象有关[6])。这是因为随着变形温度的升高,原子的平均动能增大,位错运动和晶面滑移更加容易,另外,动态回复和动态再结晶也更容易进行,使得材料位错密度下降,抵消了塑性变形产生的加工硬化,促使流变应力降低。
2) 当变形温度一定时,应变速率越高,流变应力越大。这是因为应变速率增加,变形过程缩短,金属内部的畸变程度加剧,会使金属的临界剪切应力升高,还由于塑性变形机制(动态回复、动态再结晶)需要一定的时间来进行,应变速率较高时没有足够的时间发生软化过程,就会使得流变应力提高[12]。
3) 当应变速率较高(0.1 s-1和1 s-1)、变形温度较低(900、950、1000、1050 ℃)时,流变应力达到峰值后持续下降,直到试验设定的变形量,与其它变形条件下流变应力下降后最终保持稳定不同,即呈现流动软化特征。一般认为流动软化现象与绝热温升有关,应变速率较快时变形热来不及释放,易导致局部温升引起流动软化,但阻燃钛合金即使经过温度校正,流动软化现象依然存在,曾卫东等[13]认为β钛合金的流动软化与局部塑性流动有关。而根据观察此变形条件下热压试样的显微组织,发现有局部动态再结晶发生,或许与流动软化现象有关。当应变速率很低(0.001 s-1)时、变形温度较高(1050,1100,1150 ℃)时,流变应力达到峰值下降之后,随着变形程度增加又有所升高,可能与此条件下晶粒长大有关。
4) 应变速率0.1 s-1时铸态阻燃钛合金的真应力-真应变曲线如图3所示。一个显著特点是流变应力达到峰值后突然下降,即出现不连续屈服,这种现象在很多β钛合金中都曾观察到。而挤压态阻燃钛合金与铸态相比,真应力-真应变曲线的不连续屈服现象程度较低。一般认为,σ突降的原因是大量可动位错从晶界突然增殖,而后向晶粒内部扩展,且位错扩展范围局限于晶界附近,这样流变应力的显著降低才能在较小应变下发生[14]。挤压态组织的阻燃钛合金由于存在大量的再结晶小晶粒,晶界的密度远远高于铸态组织的,这就使得可动位错增殖的区域更大,在流变曲线上的表现就是σ突降范围较宽,不连续屈服现象并不明显。另外,挤压态阻燃钛合金由于存在更多晶界产生位错的增殖,晶界附近位错塞积的程度比铸态要小得多,因此流变应力峰值减小,能够承受更大的变形而不发生开裂,工艺塑性大幅提高。

图3 铸态阻燃钛合金应变速率0.1 s-1下的真应力-真应变曲线
Fig. 3 True stress-strain curves of as-cast burn resistant titanium alloy at strain rates of 0.1 s-1
2.2 热变形本构关系及变形激活能
假设阻燃钛合金(Ti-35V-15Cr-0.3Si-0.1C)流变应力
、应变速率
、变形温度T之间的关系可以采用Arrhenius方程的如下3种形式来表示[15]:
(1)
(2)
(3)
式中:Q为变形激活能;R为摩尔气体常数;T为热力学温度;β、n、n1为与应变速率敏感性因子有关的参数;A1、A2、A3和
为与材料有关的常数。
根据流变应力在方程中出现的形式,式(1)~(3)分别称为指数方程、幂指数方程和双曲正弦方程,一般情况下指数方程适用于流变应力较高的材料,幂指数方程适用于流变应力较低的材料,而双曲正弦方程在两种情况下都有较好的适用性。
对Arrhenius双曲正弦方程取对数,可以得到式(4),当温度不变时,假设变形激活能不变,将应变速率与各应变速率对应的峰值应力代入,绘制出
关系曲线,如图4(a)所示,直线的斜率即为n值。对式(4)进行整理,可以得到式(5),当应变速率为常数时,假定一定温度范围内Q值保持不变,将变形温度及各变形温度对应的峰值应力分别代入,可绘制得到合金的
与1/T关系图,如图4(b)所示,通过直线斜率可以得到k值。
(4)
(5)

图4 挤压态阻燃钛合金不同参数之间的关系曲线
Fig.4 Relationships of different parameters for as-extruded burn resistant titanium alloy
由Arrhenius双曲正弦方程可推导出变形激活能的计算公式:
(6)
将不同应变速率下的4个k值以及不同变形温度下的6个n值分别代入式(6),可以得到挤压态阻燃钛合金不同温度和应变速率条件下的变形激活能,如图4(c)所示。对不同应变速率下的4个k值取平均,不同变形温度下的6个n值取平均,代入式(6),可以得到平均变形激活能Q=258.3kJ/mol。
高温塑性变形最显著的特点之一是变形速度受热激活过程控制,目前可以通过变形激活能Q的计算和显微组织观察判定合金的变形软化机制。通常认为,合金变形激活能与其自扩散激活能数值相差不大时,热变形为扩散过程所控制,软化机制主要为动态回复,当变形激活能远大于自扩散激活能时,合金在热变形过程中可能会有动态再结晶发生。
ROBERTSON等[16]报道纯钛β相的自扩散激活能为153 kJ/mol,本文作者计算得到挤压态阻燃钛合金的平均变形激活能为258.3 kJ/mol,与纯β-Ti的自扩散激活能比较接近,说明挤压态阻燃钛合金高温变形是扩散控制的过程,动态回复是主要的软化机制。但计算所得258.3 kJ/mol与自扩散激活能153 kJ/mol相比还是稍高,说明变形过程中会有动态再结晶发生。图4(c)所示当应变速率为0.1和1 s-1,变形温度为1100和1150 ℃时,变形激活能达到400 kJ/mol以上,远高于153 kJ/mol,可以认为主要软化机制已经是动态再结晶了。
2.3 热变形过程中的组织演变
钛合金在高温变形过程中总伴随着显微组织的演变,而显微组织的变化则会影响材料宏观的变形行为和力学性能。从层错能角度考虑,β相阻燃钛合金具有体心立方结构,层错能较高,扩展位错的宽度窄、集束容易,位错的交滑移和攀移容易进行,从而使异号位错相互抵消,位错密度下降,畸变能降低,合金内部累积的畸变能不容易达到动态再结晶所需能量,易发生动态回复。
如图5(a)和5(b)所示,当应变速率较高(0.1 s-1、1 s-1)时,距离枝条状碳化物第二相较远区域没有出现新的再结晶晶粒,为典型的动态回复机制。但碳化物附近出现大量的再结晶小晶粒,通过其波纹状晶界判断,这是β钛合金中常见的连续动态再结晶。其发生的原因是,热变形时较强的动态回复使得合金内的位错密度比较低,不能提供足够的再结晶形核所需要的驱动力,但经挤压变形后合金的碳化物第二相周围存在大量再结晶晶粒,再结晶晶粒的晶界附近由于排列混乱,其位错密度相对其他区域还是较大,可以通过多边形化形成亚晶,进而通过亚晶的合并形核,并通过不断吸纳周围的位错使亚晶界成为大角度晶界,而发生局部连续动态再结晶。

图5 阻燃钛合金不同变形条件下的显微组织
Fig. 5 Microstructures of burn resistant titanium alloy under different conditions
同样应变速率为1 s-1,铸态组织的阻燃钛合金热变形时,在粗大的β晶界以及枝条状碳化物上,产生了如图5(c)所示的项链状局部动态再结晶,除此之外,这张金相照片上还观察到由于局部塑性流动产生的流线,增加放大倍数观察,这也是一串串细小的再结晶晶粒。项链状再结晶被认为是在位错塞积区形核,即在晶界及第二相附近区域,由于位错密度急剧上升,变形畸变能增加,达到了发生动态再结晶所需的驱动力。挤压态合金由于晶粒细化使得晶界密度远高于铸态的,不容易形成很严重的位错塞积,畸变能不足以达到位错塞积形核所需的能量水平,从而抑制了项链状再结晶和局部塑性流动,但可以发生局部连续动态再结晶[17-18]。
当应变速率较低(0.001、0.01 s-1)时,如图5(d)和5(e)金相照片所示,几乎整个区域出现了均匀的波纹状晶界,呈现连续再结晶的形貌。但理论上应变速率很低时,位错的攀移和交滑移有足够的时间来完成,更容易发生动态回复软化过程,图4(c)中所示变形激活能较低也表明变形机制应该是动态回复。据此推测,图5(e)中所示的晶粒并非动态再结晶形成,而是由原始碳化物周围小晶粒的晶界运动导致,这也说明阻燃钛合金热变形为扩散控制的过程,其晶界具有高迁移性。
当应变速率较高(0.1、1 s-1),变形温度较高(1100,1150 ℃)时,晶粒的形态与应变速率较低时不同(见图5(f)),晶界变得比较平直,而且晶粒尺寸较大,可以判断发生了正常的再结晶晶粒长大,而不仅仅是晶界迁移。图中所示该条件下变形激活能达到400 kJ/mol以上,远高于β钛合金自扩散激活能153 kJ/mol,据此推测主要软化机制已经是动态再结晶了。
3 结论
1) 阻燃钛合金流变应力随应变速率的升高而升高,随变形温度的升高而降低;流变应力达到峰值后突然降低,但与铸态相比,挤压态合金σ突降程度较小;当应变速率较高(0.1、1 s-1)时,挤压态阻燃钛合金流变曲线呈现流动软化特征。
2) 计算得到挤压态阻燃钛合金的平均变形激活能Q为258.3 kJ/mol,与β钛合金自扩散激活能153 kJ/mol相比较,说明热变形主要软化机制为动态回复,但在某些条件下可能发生动态再结晶。
3) 挤压态阻燃钛合金原始铸态晶界及枝条状碳化物周围存在大量小晶粒,当应变速率较高(0.1、1 s-1),发生局部连续动态再结晶,其他区域变形机制为动态回复。
4) 当应变速率较低(0.001、0.01 s-1)时,理论预测变形机制为动态回复,但显微组织观察发现大量均匀分布的波纹状晶界,分析是由变形前小晶粒的晶界运动导致。
REFERENCES
[1] 曹京霞, 黄 旭, 弥光宝, 沙爱学, 王 宝. Ti-V-Cr系阻燃钛合金应用研究进展[J]. 航空材料学报, 2014, 34(4): 92-97.
CAO Jing-xia, HUANG Xu, MI Guang-bao, SHA Ai-xue, WANG Bao. Research progress on application technique of Ti-V-Cr burn resistant titanium alloys[J]. Journal of Aeronautical Materials, 2014, 34(4): 92-97.
[2] HANSEN J O, NOVOTNAK D. Heat treatment to reduce embrittlement of titanium alloys. US Paten: 5397404[P]. 1995-03-14.
[3] SEAGLE S R. The state of the USA titanium industry in 1995[J]. Materials Science and Engineering A, 1996, 213: 1-7.
[4] BOYER R R. An overview on the use of titanium in the aerospace industry[J]. Materials Science and Engineering A, 1996, 213: 103-114.
[5] 弥光宝, 黄 旭, 曹京霞, 王 宝, 曹春晓. 摩擦点火Ti-V-Cr阻燃钛合金燃烧产物的组织特征[J]. 物理学报, 2016, 65(5): 056103.
MI Guang-bao, HUANG Xu, CAO Jing-xia, WANG Bao, CAO Chun-xiao. Microstructure characteristics of burning products of Ti-V-Cr fireproof titanium alloy by frictional ignition[J]. Acta Physica Sinica, 2016, 65(5): 056103.
[6] MI Guang-bao, HUANG Xu, CAO Jing-xia, CAO Chun-xiao, HUANG Xiu-song. Frictional ignition of Ti40 fireproof titanium alloys for aero-engine in oxygen-containing media[J]. Transactions of Nonferrous Metals Society of China, 2013, 23(8): 2270-2275.
[7] 赖运金, 张 维, 王晓亮, 马凡蛟, 辛社伟, 王凯旋, 张丰收. WSTi3515S阻燃钛合金的工程化制备及力学性能研究[J]. 钛工业进展, 2015, 32(6): 13-18.
LAI Yun-jin, ZHANG Wei, WANG Xiao-liang, MA Fan-jiao, XIN She-wei, WANG Kai-xuan, ZHANG Feng-shou. Industrial manufacturing and mechanical properties of WSTi3515S burn-resistant titanium alloy[J]. Titanium Industry Progress, 2015, 32(6): 13-18.
[8] 孙欢迎, 曹京霞, 王 宝, 黄 旭, 曹春晓. 应用加工图技术优化阻燃钛合金高温变形工艺[J]. 稀有金属材料与工程, 2012, 42(11): 2351-2355.
SUN Huan-ying, CAO Jing-xia, WANG Bao, HUANG Xu, CAO Chun-xiao. Optimization of hot deformation parameters of burn resistant titanium alloy by using processing map[J]. Rare Metal Materials and Engineering, 2012, 42(11): 2351-2355.
[9] 刘宗煜, 王克鲁, 鲁世强, 曹京霞. 挤压温度对Ti40包套挤压过程影响规律的数值模拟[J]. 热加工工艺, 2011, 40(9): 80-83.
LIU Zong-yu, WANG Ke-lu, LU Shi-qiang, CAO Jing-xia. Numerical simulation on influence of extrusion temperature on sheathed extrusion process for Ti40 alloy[J]. Hot Working Technology, 2011, 40(9): 80-83.
[10] 朱艳春, 曾卫东, 彭雯雯, 张赋升. Ti40合金热压缩变形过程的开裂行为研究[J]. 稀有金属材料与工程, 2013, 42(10): 2088-2092.
ZHU Yan-chun, ZENG Wei-dong, PENG Wen-wen, ZHANG Fu-sheng. Cracking behavior of Ti40 titanium alloy in hot compression[J]. Rare Metal Materials and Engineering, 2013, 42(10): 2088-2092.
[11] 曹京霞, 王 宝, 黄 旭, 孙欢迎, 赖运金, 杨 晋. 锻造工艺对Ti40阻燃钛合金微观组织与力学性能的影响[J]. 中国有色金属学报, 2013, 23(S1): s595-s599.
CAO Jing-xia, WANG Bao, HUANG Xu, SUN Huan-ying, LAI Yun-jin, YANG Jin. Effect of forging process on microstructures and mechanical properties of Ti40 burn resistant titanium alloy[J]. The Chinese Journal of Nonferrous Metals, 2013, 23(S1): s595-s599.
[12] 胡 萌, 鲁世强, 李 鑫, 黄 旭, 曹京霞. Ti40阻燃钛合金高温变形本构关系研究[J]. 锻压技术, 2011, 36(2): 119-123.
HU Meng, LU Shi-qiang, LI Xin, HUANG Xu, CAO Jing-xia. Study on constitutive relationship of Ti40 burn-resistant titanium alloy during high temperature deformation[J]. Forging & Stamping Technology, 2011, 36(2): 119-123.
[13] 曾卫东, 周义刚, 舒 滢, 赵永庆, 杨 锦, 张学敏. 基于加工图的Ti-40阻燃钛合金热变形机理研究[J]. 稀有金属材料与工程, 2007(1): 1-6.
ZENG Wei-dong, ZHOU Yi-gang, SHU Ying, ZHAO Yong-qing, YANG Jin, ZHANG Xue-min. A study of hot deformation mechanisms in Ti-40 burn resistant titanium alloy using processing maps[J]. Rare Metal Materials and Engineering, 2007(1): 1-6.
[14] 孙欢迎, 曹京霞, 王 宝, 黄 旭, 曹春晓. 铸态阻燃钛合金的热加工图与变形机制研究[J]. 稀有金属材料与工程, 2012, 42(12): 2541-2546.
SUN Huan-ying, CAO Jing-xia, WANG Bao, HUANG Xu, CAO Chun-xiao. Hot processing map and deformation mechanism of as-cast burn resistant titanium alloy[J]. Rare Metal Materials and Engineering, 2012, 42(12): 2541-2546.
[15] MCQEEN H J, BELLING J. Constitutive constants for hot working of Al-4.5Mg-0.35Mn[J]. Canadian Metallurgical Quarterly, 2000, 39(4): 483-492.
[16] ROBERTSON D G, MCSHANE H B. Analysis of high temperature flow stress of titanium alloys IMI550 and Ti-10V-2Fe-3Al during isothermal forging[J]. Materials Science and Technology, 1998, 14: 339-345.
[17] 赵永庆, 舒 滢, 曾卫东, 吴玮璐, 吴 欢, 周义刚, 杨海瑛, 李 倩. 高度稳定化β型Ti40阻燃钛合金的动态再结晶行为[J]. 稀有金属材料与工程, 2009, 38(8): 1432-1436.
ZHAO Yong-qing, SHU Ying, ZENG Wei-dong, WU Wei-lu, WU Huan, ZHOU Yi-gang, YANG Hai-ying, LI Qian. Dynamic recrystallization behavior of highly stabilized β Ti40 titanium alloy[J].Rare Metal Materials and Engineering, 2009, 38(8): 1432-1436.
[18] LU Shi-qiang, OUYANG De-lai, CUI xia, Wang Ke-lu. Dynamic recrystallization behavior of burn resistant titanium alloy Ti-25V-15Cr-0.2Si[J]. Transactions of Nonferrous Metals Society of China, 2016, 26(4): 1003-1010.
Hot deformation behavior and mechanism of as-extruded burn resistant titanium alloy
SUN Huan-ying1, LIU Yi-an1, ZHAO Jun1, CAO Jing-xia2, HUANG Xu2
(1. North China Institute of Aerospace Engineering, Langfang 065000, China;
2. Beijing Institute of Aeronautical Materials, Beijing 100095, China)
Abstract: The hot deformation behavior and structural evolution of a burn resistant titanium alloy were studied on the as-extruded samples in the temperature range of 900-1150 ℃ and the strain rate range of 0.001-1 s-1 through the Gleeble-1500 simulator. The deformation activation energy was calculated based on simulation data. The results show that the stress-strain curves exhibit an obvious peak followed by a broad flow softening in higher strain rate ranges. Hot deformation of the burn resistant titanium alloy is lattice diffusion controlled, and dynamic reversion is the primary softening mechanism, while a typical continuous recrystallization will occur at the higher strain rates, and grain boundary migration will occur at lower strain rates.
Key words: burn resistant titanium alloy; hot deformation; deformation mechanism; microstructure evolution
Foundation item: Project(BJ2014001) supported by Youth Talent Program of Colleges and Universities in Hebei Province, China; Project(BKY201304) supported by Research Foundation of North China Institute of Aerospace Engineering, China
Received date: 2016-06-17; Accepted date: 2016-11-21
Corresponding author: SUN Huan-ying; Tel: +86-13833661862; E-mail: clcxshy@163.com
(编辑 王 超)
基金项目:河北省高等学校青年拔尖人才计划项目(BJ2014001);北华航天工业学院校科研基金资助项目(BKY201304)
收稿日期:2016-06-17;修订日期:2016-11-21
通信作者:孙欢迎,讲师,博士;电话:13833661862;E-mail: clcxshy@163.com