DOI: 10.11817/j.ysxb.1004.0609.2020- 37843
真空蒸馏Zn-Ni二元合金气-液相平衡研究
徐俊杰1,2,3, 庞 俭1,2,3, 孔令鑫1,2,3,4, *, 徐宝强1,2,3,4, 杨斌1,2,3,4, 任佳琦1,2,3
(1. 昆明理工大学真空冶金国家工程实验室,云南昆明 650093;
2. 昆明理工大学冶金与能源工程学院,云南昆明 650093;
3. 云南省有色金属真空冶金重点实验室,云南昆明 650093;
4. 复杂有色金属资源清洁利用国家重点实验室,云南昆明 650093 )
摘 要:在系统压力5-10 Pa、蒸馏温度1173 K-1423 K,开展Zn-Ni二元合金真空蒸馏实验研究,结果表明:液相中Ni含量由18.21 wt %增至96.05 wt %,气相中Zn含量由0增至99.9966 wt %,并且通过实验获得真空蒸馏中Zn-Ni二元合金的气-液相(Vapor-liquid equilibrium, VLE)平衡实验数据。采用Wilson方程预测了Zn-Ni二元合金组元的活度,且平均标准与相对偏差分为0.0062、0.0112和5.8170 %、4.8179 %。另外,基于VLE理论,采用Wilson方程计算了Zn-Ni合金的VLE数据,绘制VLE相图,并与实验值进行了比较,结果表明:计算值与实验值相吻合,表明采用Wilson方程预测Zn基合金的VLE数据是可靠的。本研究结果不仅验证了Wilson方程在预测VLE数据用于指导真空蒸馏分离合金的可行性,同时丰富了锌基合金的热力学数据、为有色金属真空分离实践提供了可靠的理论依据和指导。
关键词:Zn-Ni合金;VLE;Wilson方程;真空蒸馏;活度
文章编号:1004-0609(2021)-xx-- 中文分类号:TF131 文献标识码:A
锌广泛应用于表面涂层、合金及电池的生产。锌合金具有良好的防护性能,目前已成为钢铁材料主要的防护镀层之一[1]。从防腐蚀机理来看,Zn-Ni合金的耐腐蚀性最好[2]。近年来,随着电池、镀层、高温合金等行业的迅速发展,Zn-Ni合金的消费急剧增加[3,4],废料量也与日俱增。因此,从废旧Zn-Ni合金中清洁高效回收镍和锌是目前二次资源回收行业亟待解决的问题。
采用传统方法分离Zn-Ni合金面临流程长、金属回收率低、环保压力大等问题。真空蒸馏具有流程短、能耗低、无污染、金属回收率高等优点,被广泛应用于废旧合金及粗金属的分离提纯[5-11]。合金体系的分离系数只能判断合金分离的可能性。另外,气液相平衡成分图(x-y图),无法连续定量预测真空蒸馏过程中合金组元在气、液相间的分布及随温度和压力的变化情况 [12,13]。然而,气-液平衡(Vapor-liquid equilibrium, VLE)相图能够连续定量预测合金组元在气、液相间的分布。另外,还能根据所需产品成分选择最佳工艺参数,在化工领域得到了广泛应用,且取得了良好的效果。近年,杨红卫、孔令鑫等把VLE理论引入合金体系的真空蒸馏过程,用于指导真空蒸馏分离实践。然而,由于合金真空蒸馏通常需在高温、低压下进行,通过实验测定合金体系的VLE面临诸多困难,且费时、费力。因此,通过实验测定所有合金体系的VLE是不现实的。在有限实验数据基础上,采用热力学模型计算VLE是获取合金体系VLE最为简便和有效的方法。
预测精度高的热力学模型是获得可靠VLE数据的基础。目前广泛应用于合金体系组元活度预测的模型有Wilson方程、正规溶液模型(RSM)、亚正规溶液(SRSM)等。Wilson方程具有预测精度高、计算简便、适应性强等特性,在合金体系热力学性质预测方面得到了广泛应用。在此研究之前,尚未见到有关锌基二元合金气-液平衡研究的报道。因此,本文选择Zn-Ni二元合金进行真空蒸馏实验,通过真空蒸馏实验获得Ni-Zn合金的VLE实验值。另外,基于VLE理论,采用Wilson方程预测了Zn-Ni合金的VLE数据,并绘制了气-液平衡相图。最后采用VLE实验数据对模型计算值进行了检验。本研究将为锌基合金体系的VLE计算提供可靠的热力学模型,同时为锌基合金真空蒸馏工艺优化和新工艺开发提供理论指导。
1 实验
1.1 实验原料
实验原料为Zn-Ni(摩尔比为0.8:0.2)二元合金,配制合金所需要的原料纯度及来源详见表1。采用原子吸收光谱法和重量法对实验原料Zn-Ni二元合金进行检测,结果见表2。由表2检测结果表明,上述合金的质量分数与其配比相吻合,符合本实验的要求。
表1 原料信息
Table 1 Raw material information

表2 实验所用Zn-Ni合金的成分
Table 2 Chemical composition of Zn-Ni alloy for the experiments

1.2 实验步骤
本研究采用立式高温真空蒸馏炉[14](最高可升温至1800 K)开展气-液平衡实验研究,实验所用坩埚为高纯石墨坩埚(99.998 wt %,内径为29 mm,高108 mm,圆柱形),不锈钢冷凝盘的表面积为314 cm2。
(1)炉前准备:检查真空蒸馏炉的气密性和冷却水含量;清理炉腔、坩埚、冷凝盘;打开冷却水循环系统;关闭充气阀门。(2)开炉:每组实验称取约20 g的Ni-Zn合金(xNi :xZn=0.2: 0.8),置于高纯石墨坩埚中;将装有Ni-Zn合金的高纯石墨坩埚,置于发热体内部,盖上冷凝盘,关闭炉盖;启动真空泵,观察ZDF-5227复合真空计的变化,待炉内真空度为5 Pa时,启动加热装置,快速加热至实验所需温度,进行保温,整个过程需保证炉内真空度为5-10 Pa,低于5 Pa时需通入适量的高纯氩气(99.99 wt %)来调整炉内真空度,本实验的真空蒸馏温度均控制在所需温度的±2 K之内。(3)保温结束后,将真空炉冷却至室温,从冷凝盘上收集挥发物,石墨坩埚中收集残留物,测定组分含量。
本课题组在此前的工作中研究了保温时间与蒸馏产物组成的关系[15],1173 K下保温360 min,足以使真空蒸馏过程中的合金体系达到平衡。由于温度越高,分子热运动越快,体系达到平衡所需时间越短,因此本研究在温度每升高50 K,保温时间则相应减少30 min。
1.3化学成分分析
液相(残留物)中Zn的含量采用原子吸收光谱法进行测定,并由间接法可知液相中Ni的含量为wNi/%(wNi/% = 1 - wZn/%)。气相(挥发物)中Ni的含量采用重量法测定,则气相中Zn的含量为wZn/%(wZn/% = 1 - wNi/%)。含量测量的实验不确定度在±0.003(摩尔分数)以内[16]。
2 模型计算
2.1 Wilson 方程
1964年Wilson[17]首次提出局部分子分数的概念,得到了溶液过剩吉布斯自由能的新表达式。对多组元体系,其超额吉布斯自由能(GE)表达式为:
(1)
式中,R为气体常数,T为绝对温度,xi为组元i的摩尔分数,Aji为调节参数。其中Aji和Aij的表达式分别为:

对于二元合金i-j,组元i和j的活度系数表达式分别为:

式中Vi , Vj 分别为组元i和j的摩尔体积,λii 、λij 、λjj 分别为i-i、i-j、j-j原子对相互作用能(λij =λji),γi 和 γj分别为组元i和j活度系数。(λji-λii)和(λij-λjj)在一定的温度范围内与温度无关[18],根据公式(2)和(3)可推出任意温度(T')下的Aji'和Aij'。

将Aji'和Aij'带入公式(4)和(5),可得到组元i和j在温度为T'时的活度系数γi'和 γj',进而得到T'温度下的组元活度(活度计算见(式8))。
(8)
2.2 模型计算偏差
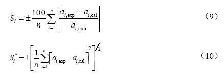
为了检验模型预测的可靠性,采用理论值与实验值之间的平均绝对偏差Si和平均相对偏差Si*进行分析。Si和Si*的表达式分别为:

式中n为实验数据个数,ai,exp和ai,cal分别为活度实验值和活度计算值。
2.3 VLE计算
二元合金体系各组元在气相和液相中的逸度相同,即达到气液相平衡。平衡关系式如下:
(11)
忽略压力的影响,引入液相逸度表达式,可得:
;
(12)
由公式(11)和(12)可得:
(13)
式(12)-(13)中
为组元i在气相中的逸度系数,Φi*为组元i的饱和液态逸度系数,pi*为组元i在温度T时的饱和蒸气压,xi 和yi 分别为组元i在液相和气相中的摩尔分数;Vil 分别为组元i的摩尔体积,R为气体常数。
本研究是在高温低真空度条件下进行的,所以逸度系数为1,
也近似为1,因此,式(13)可简化为:
(14)
对于二元合金体系:
(15)
(16)
联立式(14)和(16),可得组元i在液相和气相中的摩尔分数xi和yi的表达式:

3 结果与讨论
表3列出了Zn-Ni二元合金真空蒸馏实验条件与实验结果。表4列出了挥发物(气相)和残留物(液相)中组元Ni和Zn的含量。本研究是在高温、低压条件下进行的真空蒸馏实验,所得实验数据与理想条件下得到的实验数据存在一定的偏差。
表3 实验条件与结果a
Table 3 Summary of experimental conditions and results a

由表4可知,当温度为1173 K时,气相中Zn含量可达99.991 wt %、液相中Zn含量为13.71 wt %,随着温度的升高,液相中的Zn含量逐渐减少,当温度为1423 K时,液相中的锌含量由81.66 wt %减少至3.95 wt %。由表4同样可知,随着温度的升高,液相中Ni的含量逐渐增加,当温度为1423 K时,液相中Ni含量由18.21 wt %增至为96.05 wt %。结果表明,真空蒸馏可有效分离提纯锌镍合金。
表5列出了不同温度下Zn-Ni二元合金体系的VLE实验数据、Wilson方程计算数据以及实验值与计算值之间的偏差,同时给出了所有测量的标准不确定度。由表5知,在真空蒸馏过程中,系统压力为5-10 Pa,随着温度的升高,液相中Zn含量降低,气相中Zn含量增加,当温度为1423 K,液相中Zn的摩尔分数(xZn)由0.8降至0.0356,而此时气相中Zn的摩尔分数(yZn)为0.99995,再次证明采用真空蒸馏分离提纯Zn-Ni合金是有效的。
表4 残留物和挥发物中元素的化学成分
Table 4 Chemical composition of metallic elements in the residue and volatile

表6列出了Wilson模型计算Zn-Ni二元合金体系所需的参数,根据公式(4)和(5),由无限稀活度系数γi0和γj0,可得到调节参数Aij和Aji,将得到的调节参数Aij和Aji反代回公式(4)和(5),最终可得到组元i,j不同摩尔分数下的活度系数。根据公式(8)计算出Zn-Ni二元合金不同摩尔分数下的活度,根据公式(9)和(10),计算出计算值与实验值[19]之间的平均绝对偏差Si和平均相对偏差Si*,结果见表7和图1。
从表7和图1中可看出,Wilson方程的活度计算值与实验值吻合,且平均相对偏差很小,分别为5.8170 %和4.8179 %,表明采用Wilson方程计算Zn-Ni二元合金组元的活度是可靠的。
表5 真空蒸馏Zn-Ni二元合金液相摩尔分数xZn和气相摩尔分数yZn的实验值与计算值对比a
Table 5 The comparison of experimental values of mole fraction xZn and yZn at temperature T, Pressure P for the Zn-Ni alloy in vacuum distillation with calculations a

表6 Wilson方程计算Zn-Ni合金所需模型参数值
Table 6 Calculation of parameters required for Zn-Ni alloy by Wilson equation

表7 1800 K条件下Zn-Ni合金组元活度Wilson方程计算值与实验值[19]
Table 7 Calculated and experimental results of Wilson equation for the activity of Zn-Ni alloy at 1800 K


图1 Zn-Ni合金组元活度Wilson方程计算值与实验值对比
Fig.1 Comparison between calculated and experimental values of activity of Zn-Ni alloy components by Wilson equation
为此,本文采用Wilson方程计算Zn-Ni合金体系的VLE数据,并绘制VLE相图(T-x-y相图),具体计算步骤如图2所示。Zn和Ni的饱和蒸气压可以根据表8所示的饱和蒸气压方程及相关参数计算得到。根据图2所示的流程即可计算得到Zn-Ni二元合金体系的VLE数据。采用VLE计算数据绘制了VLE相图,如图3所示。

图2 计算Zn-Ni二元合金体系T-x-y相图的流程图
Fig.2 Flowchart of calculation T-x-y phase diagram of Zn-Ni binary alloy system
表8 Zn-Ni合金的蒸气压相关参数a
Table 8 Related parameters for vapor pressure of Zn - Ni alloy

图3(a)为Zn-Ni二元合金实验值与理论预测值对比的VLE相图。为了更直观清晰的将理论值与实验值进行比较,图3(b)和(c)分别为图3(a)中xZn = 0.000-0.150和xZn = 0.980-1.000两个局部放大部分。由图4可知,随着体系压力的降低,气、液相线的温度范围也随之降低,表明低压有利于真空蒸馏分离Zn-Ni二元合金。图3表明,随着温度的升高,体系压强对合金的分离效果影响小。当蒸馏温度高于1400 K时,液相中Ni的含量高于0.990。如图3(a)所示,随着温度的升高,液相中Ni的含量增加,若要使液相中的Ni含量和气相中的Zn含量都高于0.999,可控制蒸馏温度在1550 K-1600 K之间,避免温度过高液相中的Ni挥发进入气相中。
此外,杠杆规则可用于气液相平衡相图中预测某一温度条件下挥发物和残留物的物质的量。假设原料中Zn的摩尔分数为图3(a)中的xM,相应的蒸馏温度为1600 K,体系压力为5 Pa,杠杆定律的一条结线分别与T-x-y相图中的液相线和气相线交于P、Q两点,见图3(a)。当体系达到平衡时,P、Q两点的成分组成分别为xl和yg,由杠杆定律可得:
(19)
式中nl和ng分别为残留物和挥发物的物质的量,|MQ|和|MP|分别是线段MP和MQ的长度。
(20)
n为原料总的物质的量,联立(式19)和(式20),可得到nl和ng的表达式:
(21)
(22)
式中|PQ|式线段PQ的长度。
例如,在Zn-Ni二元合金体系中,若原料总质量为100 g,原料中Zn的摩尔分数为0.8,则xM = 0.8,则:n = 1.5613 mol,在1600 K、5 Pa条件下,xl = 2.3197x10-4,yg = 0.9906,将其带入(式21)和(式22)可得:nl = 0.3005 mol;ng = 1.2608 mol。
由图3知,实验值随温度的变化趋势与T-x-y相图变化趋势一致,但仍存在一定的偏差。由局部放大图3(b)和(c)可知,气相中Zn含量的实验值与理论值比较吻合,说明Wilson模型在气液相平衡预测中是可靠的。如图3(b)所示,当温度低于1323 K时,实验值与Wilson理论计算值存在一定的偏差,偏差可能来自以下方面:1)气液平衡(VLE)测定的实验条件无法达到理想平衡状态;2)与化工领域VLE测定不同,合金体系VLE测定需要在高温、低压条件下进行,目前还未找到理想的装置测定合金体系的气液平衡,只能采用真空蒸馏装置测定合金体系的VLE。另外,由于金属蒸气冷凝后,无法回流到液相,测定过程液相成分会发生一定的变化,所以导致液相偏差较大;3)VLE测定过程的质量损失也会带来一些误差。
气液平衡计算步骤是首先采用Wilson方程计算活度,与实验值进行对比,如果偏差在允许范围内,然后接着计算VLE。从表7和图1可靠出,采用Wilson方程计算Ni-Zn合金体系的活度是可靠的,因为平均相对偏差仅分别为5.8170 %和4.8179 %。当然,在计算VLE过程中,本研究做了一些假设确实会带来一定的误差。

图3 5-10 Pa条件下Zn-Ni体系的T-x-y相图
Fig.3 T-x-y phase diagram of Zn-Ni system at 5-10 Pa
4 结论
1)在系统压力为5-10 Pa、温度为1173 K-1423 K条件下,用真空蒸馏法对Zn-Ni二元合金体系进行分离提纯实验,实验结果表明:随着温度的升高,挥发物(气相)中Zn的含量逐渐减少,残留物(液相)中的Ni含量逐渐升高,最高含量为96.05 wt %(此时Ni的摩尔分数为0.9644),说明真空蒸馏可有效分离Zn-Ni合金。
2)采用Wilson方程计算了Zn-Ni二元合金组元的活度,Wilson方程的平均绝对偏差分别为0.0062和0.0112,平均相对偏差分别为 5.8170 %和4.8179 %,表明采用Wilson方程计算锌基二元合金组元活度的是可靠的。
3)采用Wilson方程计算了Zn-Ni二元合金的VLE数据,与VLE实验数据相比较,结果表明:实验值与计算值在误差范围内能够吻合。表明采用Wilson方程计算锌基合金体系的VLE数据是可靠的。基于VLE相图,结合所需产品的纯度可选择最佳的真空蒸馏工艺参数。
4)本研究将实验与理论相结合,不仅验证了气液相平衡相图用于指导真空蒸馏分离合金的可行性,同时也为有关锌基合金气液相平衡研究提供可靠的实验数据。
参考文献
[1] 张颖杰, 赵江涛, 王永. 锌镍合金与锌电镀工艺在生产中的应用对比[J]. 科协论坛(下半月), 2010(12): 41-42.
ZHANG Ying-jie, ZHAO Jiang-tao, WANG Yong. Application comparison of zinc-nickel alloy and zinc electroplating process in production[J]. Science Association Forum (second half of the month), 2010(12):41-42.
[2] 王江林, 徐学良, 丁青青, 朱军平, 马永泉, 赵磊, 刘孝伟. 锌镍电池在储能技术领域中的应用及展望[J]. 储能科学与技术, 2019, 8(03): 506-511.
WANG Jiang-lin, XU Xue-liang, DING Qing-qing, ZHU Jun-ping, MA Yong-quan, ZHAO Lei, LIU Xiao-wei. Application and prospect of zinc nickel battery in energy storage technology[J]. Energy Storage Science and Technology, 2019, 8(03): 506-511.
[3] 陈康, 郭崇武, 彭超艺, 冯绿霞. 以镀锌镍合金和化学镀镍作底层的锌合金压铸件镀金工艺[J]. 电镀与涂饰, 2020, 39(11): 701-702.
CHEN Kang, GUO Chong-wu, PENG Chao-yi, FENG Lu-xia. Process for gold plating on zinc alloy die castings pre-plated with zinc–nickel alloy coating and electroless nickel coating[J]. Electroplating & Finishing, 2020, 39(11): 701-702.
[4] 金忠, 张恩玉, 鲁兴武. 湿法炼锌过程伴生稀有金属钴的高值化回收技术研究及应用[Z]. 甘肃省, 西北矿冶研究院, 2019-09-20.
JIN Zhong, ZHANG En-yu, LU Xing-wu. Research and application of high-value recovery technology of rare metal cobalt associated with hydrometallurgy of zinc[Z]. Gansu Province, Northwest Research Institute of Mining and Metallurgy, 2019-09-20.
[5] 戴永年. 铅锡合金(焊锡)真空蒸馏[J]. 有色金属(冶炼部分), 1979(04): 14-21.
DAI Yong-nian. Vacuum distillation of lead-tin alloy (solder)[J]. Nonferrous Metals (Extractive Metallurgy), 1979(04): 14-21.
[6] 李一夫, 王安祥, 杨斌, 戴永年,刘大春,毛金龙. 粗锡真空蒸馏精炼的研究[J]. 真空科学与技术学报, 2015, 35(03): 334-337.
LI Yi-fu, WANG An-xiang, YANG Bin, DAI Yong-nian, LIE Da-chun, MAO Jin-long. Study on vacuum distillation of crude Tin[J]. Chinese Journal of Vacuum Science and Technology, 2015, 35(03): 334-337.
[7] 孔祥峰, 杨斌, 熊恒, 燕春培, 聂博, 闫华龙, 徐宝强, 刘大春. 粗铅真空蒸馏脱除铜锡的研究[J].真空科学与技术学报, 2014, 34(05): 522-527.
KONG Xiang-feng, YANG Bin, XIONG Heng, YAN Chun-pei, NIE Bo, YAN Hua-long, XU Bao-qiang, LIU Da-chun. Removal of Copper and Tin from Crude Lead by Vacuum Distillation[J]. Chinese Journal of Vacuum Science and Technology, 2014, 34(05): 522-527
[8] 王林, 刘大春, 杨斌, 李学鹏, 徐宝强. 真空蒸馏法提纯粗镍的研究[J]. 真空科学与技术学报, 2010, 30(003):283-287.
WANG Lin, LIU Da-chun, YANG Bin, LI Xue-peng, XU Bao-qiang. Purification of Crude Nickel by Vacuum Distillation[J]. Chinese Journal of Vacuum Science and Technology, 2010, 30(003):283-287.
[9] 李亮, 刘大春, 杨斌, 徐宝强, 戴永年, 周厚军. 含银铅锑多元合金真空蒸馏的元素挥发行为[J]. 中南大学学报:自然科学版, 2012(07):2489-2494.
LI Liang, LIU Da-chun, YANG Bin, XU Bao-qiang, DAI Yong-nian, ZHOU Hou-jun. Volatilization behavior of metals from silver-contained lead-antimony multi-component alloys by vacuum distillation[J]. Journal of Central South University (Science and Technology), 2012(07):2489-2494.
[10] 韩龙, 杨斌, 杨部正, 戴永年, 刘大春, 徐宝强. 热镀锌渣真空蒸馏回收金属锌的研究[A]. 中国真空学会.中国真空学会2008年学术年会论文摘要集[C]. 中国真空学会: 中国真空学会, 2008: 1.
HAN Long, YANG Bin, YANG Bu-zheng, DAI Yong-nian, LIU Da-chun, XU Bao-qiang,. Study on recovering metal zine form the hot galvanizing scrap by vacuum distillation[A]. China Vacuum Society. Abstracts of the 2008 Annual Conference of China Vacuum Society[C]. Chinese Vacuum Society: Chinese Vacuum Society, 2008: 1.
[11] JIA G B, YANG B, LIU D C. Deeply removing lead from Pb-Sn alloy with vacuum distillation[J]. Transactions of Nonferrous Metals Society of China, 2013, 23(06): 1822-1831.
[12] KONG X F, YANG B, XIONG H, et al. Removal of impurities from crude lead with high impurities by vacuum distillation and its analysis[J]. Vacuum, 2014, 105: 17-20.
[13] WANG A X, LI Y F, YANG B, XU B Q, KONG L X, LIU D C. Process optimization for vacuum distillation of Sn-Sb alloy by response surface methodology[J]. Vacuum, 2014, 109: 127-134.
[14] KONG L X, YANG B, LI Y F, XU B Q, LIU D C, JIA G B. Application of MIVM for Pb-Sn system in vacuum distillation[J]. Metallurgical and Materials Transactions B, 2012, 43(6):1649-1656.
[15] REN Jia-qi. Study on gas-liquid equilibrium of zinc-based binary alloy systems[D]. Kunming University of Science and Technology, China, 2020.
[16] KONG L X., XU J J, XU B Q, XU S, YANG B, ZHOU Y Z, LI Y F, LIU D C. Vapor-liquid phase equilibria of binary tin-antimony system in vacuum distillation: experimental investigation and calculation[J]. Fluid Phase Equilibria 415 (2016) 176-183.
[17] WILSON, GRANT M. A new expression for the excess free energy of mixing[J]. Journal of the American Chemical Society, 1964, 86(2): 127-130.
[18] SILVERMAN N, TASSIONS D. Prediction of multicomponent vapor-liquid equilibrium with the Wilson equation: effect of the minimization function and of the quality of binary data[J]. Industrial & Engineering Chemistry Process Design & Development, 1984, 23(3): 586-589.
[19] PREDEL B. Ni-Zn (Nickel-Zinc) [M]. Springer Berlin Heidelberg, 1998.
Research on vapor-liquid equilibrium of Zn-Ni binary alloy in vacuum distillation
XU Jun-jie1,2,3, PANG Jian1,2,3, KONG Ling-xin1,2,3,4, *, XU Bao-qiang1,2,3,4, YANG Bin1,2,3,4, REN Jia-qi1,2,3
(1. National Engineering Laboratory for Vacuum Metallurgy, Kunming University of Science and Technology, Kunming 650093, China;
2. Faculty of Metallurgical and Energy Engineering, Kunming University of Science and Technology, Kunming 650093, PR China;
3. Key Laboratory of Vacuum Metallurgy for Non-ferrous Metal of Yunnan Province, Kunming 650093, China;
4. State Key Laboratory of Nonferrous Metal Resources Clean Utilization in Yunnan Province, Kunming 650093, PR China)
Abstract: Under the conditions of system pressure of 5-10 Pa and temperature of 1173 K-1423 K, the vacuum distillation experiments of zinc-nickel (Zn-Ni) binary alloy were carried out. The results showed that the Ni content in the liquid phase increased from 18.21 wt pct to 96.05 wt pct at 1423 K and the Zn content in the vapor phase increased from 0 to 99.9966 wt pct. The experimental data of the vapor-liquid equilibrium (VLE) of the Zn-Ni binary alloy in vacuum distillation were obtained through experiments. The Wilson equation is used to predict the activity of the components of Zn-Ni binary alloy, the average absolute deviations are 0.0062 and 0.0112, and the average relative deviations are 5.8170% and 4.8179%. Based on VLE theory, the VLE data of Zn-Ni alloy were calculated using Wilson equation, and VLE phase diagram was drawn. The comparison between calculated values and experimental VLE data shows that the calculated values are in good agreement with the experimental data, which indicates that the prediction of VLE data of Zn-based alloys by Wilson equation is reliable. The results of this study not only verify the feasibility of the Wilson equation thermodynamic model in predicting the use of VLE data to guide the vacuum distillation separation of alloys, but also enrich the thermodynamic data of zinc-based alloys and provide a reliable theoretical basis and guidance for the practice of vacuum separation of non-ferrous metals.
Key words: Zn-Ni alloy; vapor-liquid equilibrium; Wilson equation; vacuum distillation; activity
Fund Project: Project(2019FD037) supported by Basic Research of Yunnan Province; Project(KKKP201752023) supported by Kong Lingxin High-level Talent Platform Construction in 2017;Project(NO.110014078334) supported by Yang Bin Technology Leading Talent Training;
Corresponding author: KONG Ling-xin; Tel: +86-15987180307; E-mail: kkmust@126.com;
基金项目:云南省基础研究计划项目(2019FD037); 2017年孔令鑫高层次人才平台建设项目(KKKP201752023);杨斌科技领军人才培养经费NO.110014078334;
通讯作者:孔令鑫,副教授,博士;电话:15987180307;E-mail:kkmust@126.com;