稀有金属 2012,36(05),791-798
熔盐电解精炼铪的研究
叶章根 陈松 李文良 吴延科 王力军
北京有色金属研究总院矿物资源与冶金材料研究所
摘 要:
研究了NaCl-KCl-K2HfF6体系下,以海绵铪和还原铪粉作可溶性阳极,不锈钢为阴极,熔盐电解精炼铪的工艺条件。采用X射线衍射物相分析(XRD)对不同方法制备的铪氟酸钾进行了分析,采用示差扫描量热法(DSC)测量了NaCl-KCl-K2HfF6熔盐体系的熔点,采用扫描电镜(SEM)对该熔盐体系下电解精炼得到的铪粉进行了观察,并采用激光衍射散射式粒度分布测定仪测定了铪粉的粒度分布。结果表明氟硅酸钾烧结法制备的铪氟酸钾纯度高,无有害杂质。最佳工艺条件为:熔盐组成为K2HfF620%(质量分数),NaCl∶KCl为1∶1(摩尔比);电解温度750℃;阳极料为海绵铪和还原铪粉时,电流密度分别为1.2和0.5 A·cm-2。在此条件下得到的铪粉精炼效果良好,产品主要杂质总含量降低至0.07%以下。阴极电流密度较低时,电解得到的铪粉形貌是粗大的块状颗粒,粒度分布在80~150μm之间。增大电流密度,铪粉粒度减小,并出现类似树枝状形貌。进一步增大电流,出现细小的不规则颗粒,粒度分布在40~90μm。增加电解时间可以提高杂质元素与铪之间的分离效果。
关键词:
熔盐电解 ;精炼 ;K2HfF6 ;铪粉 ;
中图分类号: TF841.4
作者简介: 叶章根(1985-),男,福建人,硕士研究生;研究方向:稀有金属熔盐电解; 王力军(E-mail:gold@grinm.com);
收稿日期: 2012-01-31
基金: 总装备部国家重大产业技术开发专项;
Electro-Refining of Hafnium in KCl-NaCl-K2 HfF6 Molten Salt
Abstract:
Process of molten salt electrorefining of hafnium was studied in NaCl-KCl-K2HfF6 system,with hafnium sponge and reducing hafnium powder as solubility anode and stainless-steel rod as cathode.Various analysis methods were used including XRD to K2HfF6 prepared by different methods,DSC to melting point of NaCl-KCl-K2HfF6 molten salt system,SEM to hafnium powder produced by electrorefining in the molten salt system and laser diffraction scattering type size distribution determination to particle size distribution of hafnium.Results showed that the purity of K2HfF6 prepared by K2SiF6 sintering method was high without harmful impurities.Investigation showed that the main impurity contents in hafnium powder decreased to 0.07% under the condition that the K2HfF6 weight ratio of 20%,the NaCl∶ KCl molar ratio of 1∶ 1,temperature of 750 ℃,cathode current density of 1.2 and 0.5 A · cm-2 when anode material was hafnium sponge and reducing hafnium powder.The morphology of hafnium in low current density was thick and massive with the particle size distribution of 80~150 μm,while hafnium powder size decreased and became dendrite in higher current density.Furthermore,hafnium particles became fine and irregular with the particle size distribution of 40~90 μm when it sostenuto increased.Investigation found that prolonging electrolysis time was beneficial to improve the separation of impurity elements from hafnium powder.
Keyword:
molten salt electrolysis;refining;K2HfF6;hafnium powder;
Received: 2012-01-31
铪是重要的战略材料, 具有优良的核性能、 耐腐蚀性
[1 ,2 ]
和加工性能。 铪主要应用于军用核反应堆控制棒材料
[3 ,4 ]
、 特种合金添加剂、 民用镀膜材料、 等离子体切割机的等离子发射体、 火箭推进器等
[5 ]
。 铪的制备与钛锆生产工艺类似, 采用镁还原法(Kroll法)。 镁还原法制备的海绵铪
[6 ]
杂质含量高, 同时生产过程中会产生约20%的边皮和底皮废料。 铪的冶炼过程复杂, 价格昂贵。 因此, 有必要对这些边皮、 底皮和加工过程中产生的车屑进行回收。 采用熔盐电解精炼的方法可以进一步提高海绵铪的纯度, 回收铪的边皮、 底皮和车屑。 该方法具有操作容易、 设备简单、 成本低、 除杂效果好等优点
[6 ,7 ]
, 广泛应用于生产高熔点金属、 稀土金属及其合金
[8 ,9 ,10 ,11 ,12 ]
。
本研究采用NaCl-KCl-K2 HfF6 熔盐体系, 对海绵铪和还原铪粉进行电解精炼, 研究了不同电解条件对产品纯度、 电流效率、 微观形貌和粒度的影响。
1 实 验
1.1 原料及设备
实验所用氧化铪、 海绵铪和还原铪粉为自制原料, 制备熔盐所需原料为NaCl(分析纯, 北京化学试剂有限公司)、 KCl(分析纯, 北京化学试剂有限公司)、 K2 SiF6 (分析纯, 天津福晨化学试剂厂)。 自制原料的化学成分见表1。
采用三高石墨坩埚做电解槽兼阳极, 阴极为不锈钢棒, 加热炉为井式电阻炉, 电解电源为MKF-30A/24V脉冲开关直流电源。 实验装置如图1所示。
1.2 实验方法
1.2.1 铪氟酸钾的制备 铪氟酸钾的制备方法主要有两种, 分别是氟硅酸钾烧结法和氢氟酸溶解法。
氟硅酸钾烧结法是将摩尔比为1∶1∶1.25的氧化铪、 氯化钾和氟硅酸钾混料球磨4 h后在670 ℃烧结4 h, 烧结料破碎球磨至小于75 μm, 按固液比1∶7用1%稀盐酸在80 ℃浸出2 h后取出上清液并缓慢冷却, 得到铪氟酸钾晶体。 反应方程式为:
表1 氧化铪、 海绵铪和还原铪粉的化学成分
Table 1 Element contents of HfO 2 , hafnium sponge and reduced hafnium
Elements
HfO2
Hafnium sponge
Reducing hafnium
Fe
<0.0005
0.540
0.001
Si
<0.001
<0.001
Mn
<0.0001
0.028
Cu
<0.001
0.050
Cr
<0.0005
0.033
0.0003
Ni
<0.0005
0.004
0.0005
Mo
<0.0005
0.0047
图1 熔盐电解设备示意图
Fig.1 Schematic diagram of molten salt electrolysis
1-Cathode;2-Anode;3-Graphite crucible;4-Ceramic facing;5-Thermocouple;6-Ceramet protective pipe;7-Resistance furnace;8-Molten salt electrolyte
HfO2 +K2 SiF6 =K2 HfF6 +SiO2 (1)
氢氟酸溶解法是以金属铪废料作为原料, 用氢氟酸溶解金属铪, 经稀释、 过滤后, 加热到90 ℃, 加入过量的KF溶液, 保温缓慢冷却48 h, 得到无色透明的铪氟酸钾晶体。 反应方程式为:
Hf+4HF=HfF4 +2H2 (2)
HfF4 +2KF=K2 HfF6 (3)
1.2.2 熔盐电解精炼铪过程 在石墨坩埚底部平铺上一定量的粗铪料, 将电解质K2 HfF6 , NaCl和KCl按一定比例混合, 烘干后放入石墨电解槽中, 加热电阻炉到750 ℃使电解质熔化, 插入阴极并通电。 开始电解前先通以较小的电流进行预电解0.5 h, 再更换新电极, 提高电流进行电解。
电解阳极反应为: Hf(粗) -4e=Hf4+ (4)
电解阴极反应为: Hf4+ +4e=Hf(精) (5)
总反应为: Hf(粗) =Hf(精) (6)
电解一段时间后, 铪粉沉积在阴极上, 取出阴极隔绝空气冷却, 将沉积物破碎、 水洗、 酸洗、 烘干后得到产品。
用ICP光谱分析法测定产品的化学成分, 用JSM-840扫描电镜观察产品的形貌, 用LMS-30激光衍射散射式粒度分布测定仪测定产品的粒度。
2 结果与讨论
2.1 铪氟酸钾的制备
氟硅酸钾烧结法和氢氟酸溶解法均能制得铪氟酸钾, 两种方法制备的铪氟酸钾的XRD图谱见图2。 由图2可以看出, 溶解法制备的铪氟酸钾里出现杂质K3 HfF7 。 K3 HfF7 对熔盐电解是不利的, 使用含有K3 HfF7 的铪氟酸钾进行电解实验得不到产物, 在制备铪氟酸钾的时候应杜绝K3 HfF7 的产生。 烧结法制备的铪氟酸钾成分分析结果见表2。 产物中硅的含量稍高, 硅在后续电解中不会进入铪粉, 其他杂质含量均比较低。 可见, 烧结法制备的K2 HfF6 纯度高, 未见K3 HfF7 的存在, 能满足熔盐电解精炼铪的要求。 实验中K2 HfF6 的制备采用烧结法。
表2 烧结法制备K2HfF6的杂质成分(%, 质量分数)
Table 2 Impurities contents in K 2 HfF 6 prepared by sintering method (%, mass fraction )
Si
Ti
Cr
Fe
Ni
Mo
Mn
0.0110
0.0007
<0.0005
<0.0005
<0.0005
<0.0010
<0.0005
2.2 熔盐的熔点及电解温度
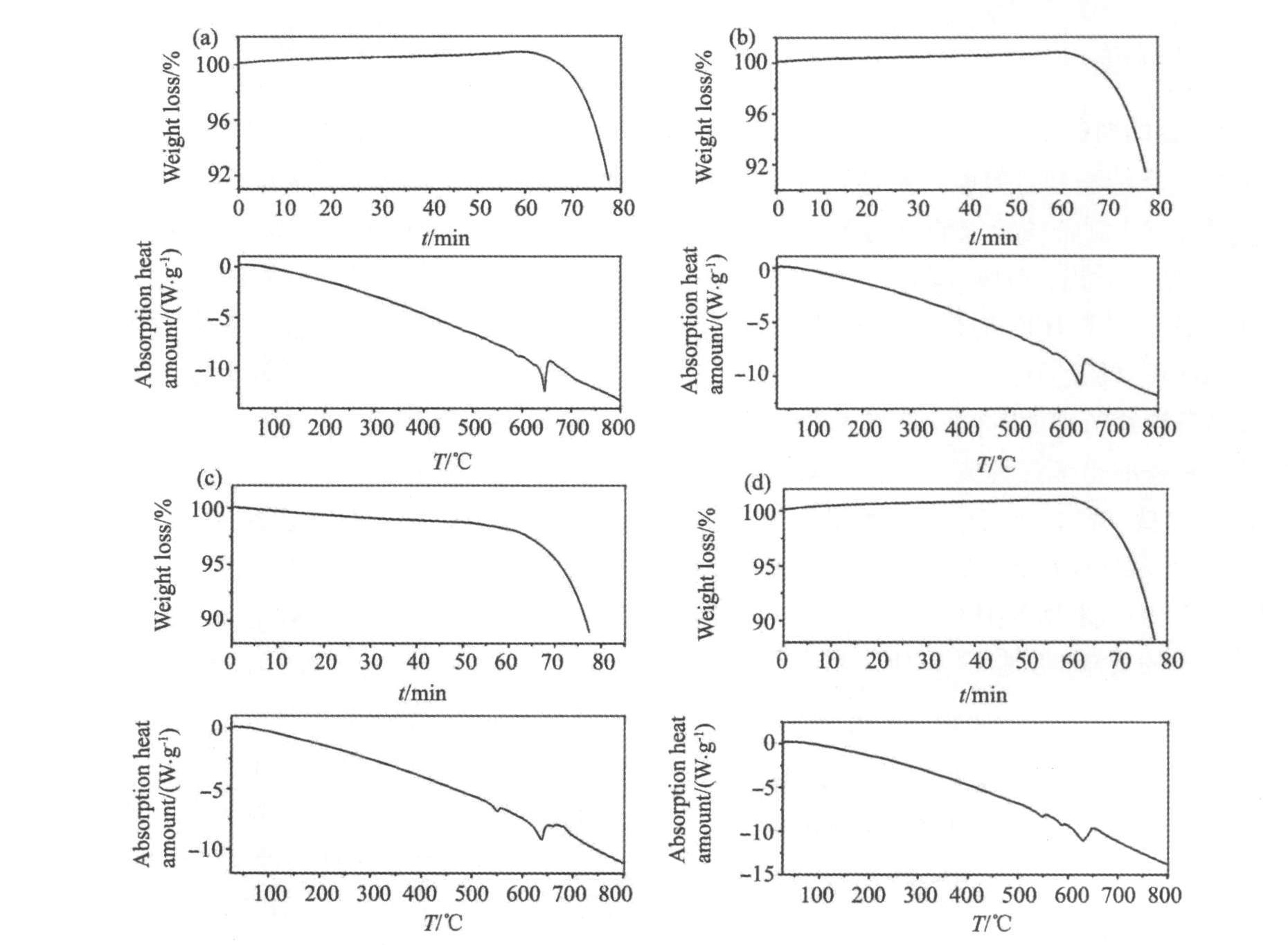
对NaCl-KCl-K2 HfF6 熔盐体系进行熔点测定。 按NaCl与KCl摩尔比1∶1, K2 HfF6 质量分数分别为5%, 10%, 20%和30%的比例配制熔盐, 混合均匀后烘干。 将混合盐置于电阻炉中加热至熔融并保温1 h, 取出一定量冷却后的熔盐研磨后进行热分析, 结果如图3所示。
图3中在650 ℃附近出现的吸热峰是由于熔盐熔化所致, 4种熔盐的吸热峰分别出现在643, 640, 635和628 ℃; 图3(d)中在548和585 ℃附近出现的吸热峰是K2 HfF6 结构发生转变和新物相生成。 因此NaCl-KCl-K2 HfF6 体系的熔化范围为606~648 ℃。 NaCl, KCl摩尔比为1∶1的体系的最低共熔温度是650 ℃
[13 ]
。 由此, K2 HfF6 会降低NaCl-KCl体系的熔化温度。 实际电解时的温度应比熔化温度高100 ℃左右, 因此选择电解温度为750 ℃。
2.3 电解质的组成
本实验选用K2 HfF6 占5%~30%(质量分数)的NaCl-KCl-K2 HfF6 熔盐体系
[14 ]
作为电解质, 其中NaCl与KCl摩尔比为1∶1。 以海绵铪作为阳极料, 电解质中K2 HfF6 (质量分数)分别为5%, 10%, 20%, 30%, 电解温度为750 ℃, 阴极电流密度为0.5 A·cm-2 , 电解时间3 h。 实验结果表明, 在K2 HfF6 (质量分数)为5%和30%的熔盐体系中电解得不到产物, K2 HfF6 浓度分别为10%和20%的体系能得到产物, 并且后者得到的产物量更多。 4种条件下电解的电流效率见表3。
K2 HfF6 浓度为30%的熔盐体系电解前后熔盐中铪含量基本不变, 电解后阳极料残余量多, 说明该浓度下的熔盐很难进行电解反应, 得不到产物。 使用K2 HfF6 浓度为5%的熔盐进行电解精炼时, 电解质中铪浓度小, 电极产生了较大极化, 钠离子和钾离子同时参与了放电, 使产物不易在阴极表面附着而弥散在电解质中无法收集, 在阴极上析出的铪量减少。
选用NaCl-KCl-K2 HfF6 熔盐体系作为熔盐电解精炼的电解质, 电解质中K2 HfF6 最佳浓度为20%, 此时电流效率可达到68.3%。
图2 不同方法制备的K2HfF6的XRD图谱
Fig.2 XRD diagram of K2 HfF6 prepared by different methods (a) HF dissolving method; (b) K2 SiF6 sintering method
图3 熔盐的DSC/TG曲线
Fig.3 DSC/TG curve of molten salt (a) 5% K2 HfF6 ; (b) 10% K2 HfF6 ; (c) 20% K2 HfF6 ; (d) 30% K2 HfF6
表3 不同电解条件下的电流效率
Table 3 Relationship between experimental conditions and current efficiency
Nos.
K2 HfF6 concentration/%
Electrolysis time/h
Current efficiency/%
1
5
3
-
2
10
3
36.7
3
20
3
68.3
4
30
3
-
2.4 阴极电流密度对产品质量的影响
增大电流密度可以强化生产, 但将增大极化从而增加能耗, 并且增加杂质析出的机会, 减小电流密度则可能降低产量。
本实验先后使用了两种阳极料: 海绵铪料和还原铪粉。 阳极料不同, 电解工艺条件也有所区别。
采用海绵铪作为阳极料, 熔盐配比NaCl∶KCl=1∶1(摩尔比), 其中K2 HfF6 浓度为20%, 电解温度750 ℃, 电解2 h得到铪粉经酸洗、 水洗、 干燥后进行化学成分分析, 结果见表4。
在所选阴极电流密度范围内, 电解精炼铪均能达到较好的杂质分离效果; 电流密度为0.3 A·cm-2 时, 样品中铁含量较高; 电流密度增大到0.5 A·cm-2 时, 样品中铁含量有所降低, 随着电流密度的增大, 铁含量又逐渐增加。
表4不同电流密度下电解海绵铪得到的铪粉的杂质成分(%)
Table 4 Impurities contents in hafnium powder by electrolyzing hafnium sponge at different current density (%)
Elements
Raw material
Current density/(A·cm-2 )
0.3
0.5
0.6
1.2
1.6
Fe
0.5400
0.0100
0.0022
0.0025
0.0026
0.0037
Mn
0.0280
<0.0001
0.0005
<0.0002
<0.0006
<0.0006
Cu
0.0500
<0.0005
<0.0005
<0.0005
0.0005
<0.0004
Cr
0.0330
<0.0001
0.0004
0.0072
0.0010
<0.0005
Co
<0.0005
<0.0001
<0.0005
<0.0001
<0.0003
<0.0003
Ni
0.0040
<0.0005
<0.0005
<0.0005
<0.0005
<0.0005
Mo
<0.0005
<0.0001
<0.0005
<0.0001
<0.0003
<0.0003
由于电解精炼过程中要除去的主要元素如铁、 铬、 锰等, 在氯化物熔盐中的析出电位均比铪高, 因此可以在较大的电流密度下电解。 但考虑到较大的电流密度会引起极化的增加, 阴极电位增大, 达到某些杂质元素的析出电位, 从而使这些杂质元素析出的可能性增加, 因此理想的阴极电流密度为1.2 A·cm-2 。
采用还原铪粉作为阳极料, 重复上述实验, 所得铪粉杂质成分见表5。 从表中可以看出, 在所选电流密度范围内, 精炼时杂质分离效果较好。 但是在实验过程中观察到电解的稳定性和持续性相差很大。
在进行上述实验时, 首先选用的阴极电流密度是1.2 A·cm-2 。 在此电流密度下进行电解, 第一根阴极棒上的产物很少; 第二根阴极棒上的产物多, 但是出现产物掉落现象; 第三、 四根阴极棒上产物较多, 且大部分集聚在阴极棒底部, 有掉落的趋势。 此后电极极化增大, 钾离子和钠离子参与放电, 熔盐液面出现火花, 无法继续电解。
将电流密度调低至1.0 A·cm-2 , 其他条件不变, 电解精炼所得产物有所增加, 产物掉落现象减少。 继续降低阴极电流密度至0.8 A·cm-2 , 电解情况趋于稳定, 产量增加, 很少出现产物掉落现象, 一个电解周期能正常电解的批次也增加。
因此, 在高阴极电流密度下使用还原铪粉烘干压块铪料进行铪的熔盐电解精炼时, 电解效率低下, 产物容易脱落, 电解持续时间短。 这是由于还原铪粉压块料的氧含量比较高, 在较大电流密度下, 反应速度快, 阳极料中的氧迅速进入电解质, 使电解质的性质发生改变。 所以, 以还原铪粉为原料进行电解精炼时, 阴极电流密度应控制在0.8 A·cm-2 以下。
2.5 铪粉的显微形貌
采用还原铪粉作为阳极料, 不同电流密度下得到的铪粉的显微形貌如图4所示。 图4(a)大多是块状颗粒, 粒径比较大; 图4(b)分布着许多树枝状类晶体, 且有一定的结晶取向; 图4(c)颗粒形貌不规则, 大小不一。
电流密度较低时, 反应速率慢, 电化学过程是控制步骤, 晶体形核速率远小于晶体长大速率, 因此形成粗大的块状颗粒。 当电流密度提高时, 电化学反应速率加快, 形核相对容易, 成核速率稍大于长大速率。 晶粒在生长过程中, 液相中的金属离子不断通过阴极周围离子双电层结构进行迁移, 并于阴极表层发生放电沉积。 与此同时, 由于界面能的各向异性, 使得这类晶粒在长大方向上有择优取向的倾向
[15 ]
, 金属的沉积沿着能垒最低的活性前端进行, 因而形成了相对粗大的树枝状晶粒。 随着电流密度的进一步增大, 反应速率加快, 成核速率远大于晶体长大速率, 形成细小、 形貌不规则的颗粒。
表5不同电流密度下电解还原铪粉得到的铪的杂质成分(%)
Table 5 Impurities contents in hafnium powder by electrolyzing reducing hafnium at different current density (%)
Elements
Current density/(A·cm-2 )
0.2
0.3
0.5
0.8
1.0
1.2
Fe
0.0019
0.0017
0.0035
0.0032
0.0050
0.0046
Mo
<0.0005
<0.0005
<0.0001
<0.0010
<0.0005
<0.0005
Si
<0.0010
0.0260
0.0100
0.0200
0.0130
<0.0010
Cu
<0.0002
<0.0005
图4 不同电流密度下铪粉的SEM形貌
Fig.4 SEM micrograph of hafnium powder prepared at different current density
(a)20%K2 Hf F6 ,750℃,0.2 A·cm-2 ,3 h;(b)20%K2 Hf F6 ,750℃,0.3 A·cm-2 ,3 h;(c)20%K2 Hf F6 ,750℃,0.5 A·cm-2 ,3 h
2.6 铪粉的粒度
采用还原铪粉烘干压块铪料作为阳极料, 电解质中K2 HfF6 浓度为20%, 在不同电流密度下电解得到的铪粉的粒度分布如图5所示。
图5可以看出, 4种条件下得到的铪粉的D 50 分别为118, 104, 79, 67 μm, 主要粒度分别区间分别为: 80~150, 75~180, 40~110, 40~90 μm。 样品1和4粒度分布相对集中, 如图5(a, d)所示, 样品2和3粒度分布比较宽, 图5(b, c)所示。
由于电流密度大, 反应速度快, 晶粒形核速率大于晶粒长大速率, 产生大量的晶核, 数量有限的晶粒沉积在这些晶核上, 形成的铪粉粒度细小、 分布集中。 电流密度降低, 反应速率减慢, 形核速率与晶粒长大速率相差不大, 晶核数量减少, 形成树枝状晶粒, 由于晶粒生长存在择优取向, 不同晶粒长大速率有较大差异, 因此粒度分布范围较宽。 当电流密度进一步降低, 形核速率远低于长大速率, 晶核数量少, 晶体越长越大, 最终形成颗粒大、 粒度分布集中的晶粒。
产品粒度越小, 夹盐率越高, 会增加后续工艺的复杂性。 另外粒度越小, 比表面积越大, 铪粉在空气中容易被氧化而受到污染, 因此电流密度不宜太大。 电流密度太小, 反应速率慢, 生产率低。 为了保证必要的产能, 采用还原铪粉作为阳极料进行精炼时所选择的阴极电流密度为0.5 A·cm-2 。
2.7 电解时间的影响
为了能进行较长时间的电解实验, 采用了大尺寸电解设备, 阴极直径为40 mm, 坩埚内径200 mm。 以还原铪粉作为阳极料, 电解质中K2 HfF6 浓度为20%(质量比), 电解温度750 ℃, 电流密度为0.5 A·cm-2 。 电解不同时间后得到的铪粉杂质成分见表6。
随着电解时间的增加, 铪粉中铁、 硅、 锰等杂质含量有所减少, 说明电解时间越长产品纯度越好。 这是由于电解精炼过程中要除去的主要元素在氯化物体系中的析出电位比铪正, 在熔盐中的沉积性能弱于铪的沉积能力。 因此电解时间的增加可以提高杂质元素与铪之间的分离提纯效果。
实际生产中无法做到长时间电解, 随着电解的进行, 铪粉不断在阴极表面聚集, 减小与阳极的距离, 如果长时间电解, 当阴极铪粉长到一定程度就会接触阳极造成短路。 因此铪粉聚集在阴极棒上到一定程度要取出阴极, 更换新的阴极棒。 但是电解开始时, 阴阳极的初始距离不能太大, 极距太大会使槽电压增大, 不利于电解进行。 在实际生产中, 要根据设备实际情况制定电解时间。
图5 不同电流密度下铪粉的粒度分布(750 ℃, 3 h)
Fig.5 Particle size distribution of hafnium powder prepared at different current density (750 ℃, 3 h) (a) 0.2 A·cm-2 ; (b) 0.3 A·cm-2 ; (c) 0.5 A·cm-2 ; (d) 0.6 A·cm-2
表6 不同电解时间下得到的铪粉杂质成分(%)
Table 6 Impurities contents in hafnium powder prepared at different electrolysis time (%)
Elements
Electrolysis time/h
3
5
10
Si
0.0053
0.0042
<0.0010
Fe
0.0036
0.0010
0.0012
P
0.0013
0.0013
<0.0010
Ti
<0.0005
<0.0005
<0.0003
Ni
<0.0003
<0.0003
<0.0003
W
<0.0005
<0.0005
<0.0005
Mn
<0.0003
0.0001
Mo
<0.0005
<0.0005
3 结 论
1. 选用NaCl-KCl-K2 HfF6 熔盐体系作为熔盐电解精炼的电解质, 以海绵铪和还原铪粉为阳极料, 在一定的电解条件下进行电解精炼, 得到的铪粉中主要杂质总含量在0.07%以下。
2. 使用氟硅酸钾烧结法制备的铪氟酸钾纯度高, 无有害杂质, 能满足电解精炼铪对熔盐的要求。 电解精炼时, K2 HfF6 浓度过高或太低都有可能得不到产物。 较理想的浓度是20%, 在此浓度下电解的电流效率达到68.3%。
3. 阴极电流密度对铪的电解精炼有重要的影响。 电流密度过小, 电解速率低, 不利于生产; 电流密度过大虽然能强化生产, 同时也会增加能耗, 增加杂质析出的机会。 阳极料不同, 所采用的电流密度也不同。 针对海绵铪和还原铪粉两种阳极料, 最佳电流密度分别为1.2和0.5 A·cm-2 。
4. 阴极电流密度会影响铪粉的形貌和粒度分布。 低电流密度下的铪粉形貌是粗大的块状颗粒, 粒度分布在80~150 μm。 电流密度越大, 所得铪粉的粒度有变小的趋势。 电流密度增大到一定程度会出现类似树枝状的形貌; 继续增大电流, 出现细小的不规则颗粒, 粒度分布在40~90 μm。
5. 延长电解时间, 有利于提高产品纯度。 但要根据电解设备的实际情况确定电解时间。
参考文献
[1] Nuclear Reactor Materials Compilation Group.Properties of Nu-clear Reactor Material[M].Beijing:Atomic Energy Press,1974.281.(核反应堆用材料编写组.核反应堆用材料性能[M].北京:原子能出版社,1974.281.)
[2] Lin Z H.Extractive Metallurgy of Nonferrous Metals.Zirconi-um and Hafnium[M].Beijing:Metallurgical Industry Press,1999.3.(林振汉.有色金属提取冶金分册.锆铪[M].北京:冶金工业出版社,1999.3.)
[3] Xiong B K.Preparation and application of hafnium metal[J].Rare Metals Letters,2005,24(5):46.(熊炳昆.金属铪的制备及应用[J].稀有金属快报,2005,24(5):46.)
[4] Xiong B K,Wen W G,Yang X M,Luo F C,Zhang W,Guo JM.Zirconium and Hafnium Metallurgy[M].Beijing:Metal-lurgical Industry Press,2002.13.(熊炳昆,温旺光,杨新民,罗方承,张伟,郭靖茂.锆铪冶金[M].北京:冶金工业出版社,2002.13.)
[5] Luo X W,Luo F C.The properties,application,manufacturingtechniques and developing prospect of zirconium and hafnium ma-terials[J].Jiangxi Metallurgy,2009,29(4):39.(罗新文,罗方承.锆铪材料的性质、应用、生产技术与发展前景[J].江西冶金,2009,29(4):39.)
[6] Wu Y K,Li Q B,Xu Z G,Wang L J,Xiong B K.Review ofpreparation methods of zirconium metal[J].Chinese Journal ofRare Metals,2009,33(4):462.(吴延科,李庆彬,徐志高,王力军,熊炳昆.金属锆的制备方法[J].稀有金属,2009,33(4):462.)
[7] William W Stephens.Extractive metallurgy of zirconium-1945 tothe present,zirconium in the nuclear industry[A].Sixth Inter-national Sympoium[C].1984.
[8] Wang X,Liao C F.Technological analysis and prospects ofpreparation for tungsten powder by molten salt electrolysis[J].Journal of Rare Metals,2011,35(4):587.(王旭,廖春发.熔盐电解法制备金属钨粉的技术分析及发展前景[J].稀有金属,2011,35(4):587.)
[9] Li Q Y,Du J H,Xi Z P,Li Z X,Yang C B.Preparation ofhigh titanium ferroalloy by molten salt electrolysis from mixture ofTiO2 and ilmenite[J].Chinese Journal of Rare Metals,2011,35(6):829.(李晴宇,杜继红,奚正平,李争显,杨承本.熔盐电解法制备高钛铁合金[J].稀有金属,2011,35(6):829.)
[10] Qiu J J,Chen S,Wu Y K,Wang L J.Refining of zirconium bymolten salt electrolysis[J].Chinese Journal of Rare Metals,2011,35(1):78.(邱建杰,陈松,吴延科,王力军.熔盐电解精炼锆的工艺研究[J].稀有金属,2011,35(1):78.)
[11] Wang Z L,Tang H Q,Guo Z C,Ye W,Cai Z F.Cathodepreparation for dysprosium electro-deoxidation[J].Chinese Jour-nal of Rare Metals,2010,34(5):755.(王中磊,唐惠庆,郭占成,叶伟,蔡卓飞.直接电解法制取金属镝的阴极制备工艺研究[J].稀有金属,2010,34(5):755.)
[12] Pang S M,Yan S H,Li Z A,Chen D H,Xu L H,Zhao B.Development on molten salt electrolytic methods and technologyfor preparing rare earth metals and alloys in China[J].ChineseJournal of Rare Metals,2011,35(3):440.(庞思明,颜世宏,李宗安,陈德宏,徐立海,赵斌.我国熔盐电解法制备稀土金属及其合金工艺技术进展[J].稀有金属,2011,35(3):440.)
[13] Kan Y M,Wang P L,Li Y X.The effect of process parameterson bismuth titanate powder prepared by molten method[J].J.Inorg.Mater.,2002,17(5):1063.
[14] Chen T H.Electro-refining of hafnium in molten salt[J].Shanghai Metals(Nonferrous Fascicule),1990,11(3):11.(陈泰亨.熔盐电解精炼铪[J].上海金属(有色分册),1990,11(3):11.)
[15] Xing J D.Oriented Crystal Growth[M].Xi'an:Xi'an JiaotongUniversity Press,2008.10.(邢建东.晶体定向生长[M].西安:西安交通大学出版社,2008.10.)