一种基于混沌映射的空域数字水印新算法
朱从旭,陈志刚
(中南大学 信息科学与工程学院,湖南 长沙,410083)
摘要: 通过对多种空域水印算法优缺点的分析,提出了一种新的图像空域盲水印算法。利用广义猫映射将各水印比特的嵌入位置随机置乱到整个载体图像的像素空间;再用Logistic混沌映射随机产生各水印比特嵌入载体像素的比特位置;各水印比特被随机嵌入到像素点的某一中间比特位,并采用最小化像素改变量的优化策略;提取水印只需要密钥,且密钥空间大。实验结果表明:嵌入水印隐蔽性好,同时具有很强的抵抗剪切攻击、LSB(最不重要比特位)攻击、多低位破坏攻击和椒盐噪声攻击的鲁棒性;合法用户能方便快捷地提取水印,而非法用户则不能提取正确水印。因此,这种基于双混沌映射的水印算法,不仅使嵌入水印具有良好的隐蔽性、鲁棒性和安全性,而且使算法具有很好的现实可操作性。
关键词: 混沌映射; 信息隐藏; 空域水印
中图分类号:TP391 文献标识码:A 文章编号: 1672-7207(2005)02-0272-05
A Novel Spatial Domain Digital Watermarking Algorithm Based on Chaotic Map
ZHU Cong-xu,CHEN Zhi-gang
(School of Information Science and Engineering, Central South University, Changsha 410083, China)
Abstract: Through the analysis of many representative spatial domain watermarking algorithm, a novel image spatial domain blind watermarking algorithm was presented. The proposed scheme utilized general cat map to scramble watermark embedding positions randomly throughout the whole pixels space of image. Then Logistic chaotic map is utilized to generate watermarks embedding bit positions in the host image pixels. All the watermarking bits are embedded in one of the middle bits of host image pixels. And the strategy of minimizing changes of host image pixels is adopted. To extract watermark, only security keys are required, and the space of security keys is very large. The experimental results show that the difference between the watermarked and original image is perceptually invisible, and the watermark is robust against cut attack, LSB(least significant bit) attack, many of low bits damage attack and salt-pepper noise attack. It is convenient for the owner of keys to extract watermark and impossible for the unaccredited to do so. Therefore, the embedded watermarks with this double chaotic map based watermarking algorithm are not only invisible, robust and safe, but the algorithm is also very exercisable.
Key words: chaotic map; information hiding; spatial domain watermarking
近年来,一种新的信息安全手段——信息隐藏技术已逐渐成为研究热点。数字水印和信息伪装是信息隐藏技术的2个分支。由于数字水印技术为数[CM(22] 字产品的版权保护和内容认证提供了有效解决方案,因此,许多数字水印方案被相继提出[1-4]。这些方案大体可以分为空域水印和变换域水印两大类[5]。其中,空域水印方案的优势在于水印容量大和算法易于实现。但目前大多数空域水印方案都是基于图像像素LSB(即最不重要比特位)的嵌入思想;这种水印算法抵抗攻击的鲁棒性不强,而且也容易被检测到[6-8]。虽然一些学者针对LSB算法提出了抗检测分析的措施[6-8],但仍不能提高LSB算法的鲁棒性;此外,许多空域水印缺乏安全性。M.S.HWANG等采用单向Hash函数提高了水印算法的安全性[9]。宋琪等提出了用随机数置乱水印嵌入位置来提高安全性的方法[10],并将水印嵌入到非LSB位平面;但随机产生的水印嵌入位置存在冲突现象,需要用记录表来解决此冲突问题。陈永红采用单个混沌系统来随机产生水印嵌入位置[11],也不可避免出现位置冲突问题,其解决办法是采用记录表。
用记录表来解决嵌入位置冲突提高了算法的时间复杂度,同时提取水印时需要保存的记录表,它不是严格意义上的盲检测算法。在此,作者借鉴非LSB嵌入水印和随机置乱水印的原理,采用推广的Anold变换生成水印嵌入的空间位置,避免了位置冲突问题的出现。同时,用另一个混沌序列随机产生水印嵌入的比特位,将水印嵌入到图像像素低位的第2至第6位;并采用最小化像素改变量优化策略。这样,不仅提高水印的安全性,而且嵌入水印不引起载体像素值的过大改变,提取水印也不需要存储的记录表,是一种完全意义的盲水印方案。
1 混沌映射与水印嵌入定位
E.A.ARNOLD引入了Arnold变换[12]。该变换因经常用一张猫脸演示而又称猫映射,猫映射方程如下:

其中:mod 1表示只取小数部分,即x mod 1=1-[x]。因此,(xn,yn)的相空间限制在单位正方形[0,1]×[0,1]内,将式(1)变成矩阵形式为:

式(2)定义了矩阵C,当行列式|C|=1时,猫映射是一个保面积映射(没有吸引子)。同时猫映射是一一映射[12],单位矩阵内的每一点惟一地变换到单位矩阵内的另一点,利用此性质使每个不同位置的水印像素得到一个不同的嵌入位置。猫映射具有非常典型的产生混沌运动的2个因素:拉伸(乘以矩阵C使x,y都变大)和折叠(取模使x和y又折回单位矩阵内)。事实上,猫映射是混沌映射。
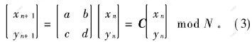
将上述猫映射作如下推广[13]:首先,将相空间推广为{0,1,2,…,N-1}×{0,1,2,…,N-1}, 即只取0到N-1的正整数;其次,将方程推广为最一般的二维可逆保面积方程:

其中:a,b,c和d为正整数,其保面积要求|C|=ad-bc=1。在此条件约束下,a,b,c和d4个参数中只有3个是独立的,如可以让a,b和c独立,而d由保面积条件确定。
推广的猫映射式(3)仍然具有混沌映射的特性。因此,利用广义猫映射式(3)来产生水印各像素点嵌入到载体图像的空间位置:将水印图像的各像素坐标(x,y)作为初值,用系数矩阵C的3个独立参数和迭代次数k作密钥,生成的迭代结果(x′,y′)作为(x,y)处水印嵌入到载体图像的空间位置。由于映射的混沌特性,当迭代次数足够大时,任意2个相邻的水印像素点,它们嵌入到载体图像的位置将会产生很大的分离。又由于该映射是一一映射,因此,由不同的水印坐标迭代得到的嵌入位置不会相同,这样,嵌入水印不会产生位置冲突。
由于混沌映射具有很强的类随机性和对初始条件的极端敏感性,这使混沌系统具有良好的密码特性。Logistic映射是一种被广泛使用的混沌映射,其映射迭代公式如下:
zn+1=λzn(1-zn)。(4)
其中:zn∈(0,1),λ∈(0,4];当λ>3.57时(这里取4),从某个初值z0开始,迭代生成的序列是混沌的。若初值z0稍有差异,生成的序列将截然不同;该序列在(0,1)区间是均匀分布的且无周期的。依据这些特性,将(0,1)区间分成宽度不等的5个子区间,在嵌入各水印比特时,不断迭代生成序列中的zn,并根据该zn值所属的子区间来决定该水印比特将嵌入载体像素的比特位。
2 水印嵌入和提取算法
2.1 水印的嵌入
设数字水印二值图像矩阵记为W={w(i,j), 1≤i≤M1,1≤j≤M2},即水印图像的大小为M1×M2。原始载体图像为F={f(x,y), 1≤x≤N1,1≤y≤N2},即载体图像的大小为N1×N2。其中(i,j)和(x,y)分别代表二值水印图像和原始载体图像的像素坐标,w(i,j)和f(x,y)分别代表相应位置的像素值;w(i,j)={0,1};f(x,y)={0,1,…,2L-1},L为灰度载体图像的位深(这里使用L=8位的灰度图像)。为了运算简便,假设M1=M2=M,N1=N2=N。考虑到嵌入水印的安全性(避免非授权提取),将水印的各像素(1比特)随机嵌入到载体图像不同位置的像素中。水印嵌入载体图像的位置(x,y)按式(3)计算,即以被嵌入水印像素的位置(i,j)为初值,通过式(3)迭代n次得到(x,y)。其中将式(3)中的独立参数a,b,c和迭代次数n作为密钥参数,由于式(3)是一一映射函数,对于确定的密钥参数,由不同的水印位置(i,j)将产生不同的嵌入位置(x,y),这就不需要使用记录表来记录出现冲突的位置。其次,令水印像素嵌入到(x,y)位置像素的第k比特位,k由式(4)生成的zn对应所属子区间决定,对应5个不同子区间,k=2,3,4,5,6。最后得到的三元组(x,y,k)即为像素w(i,j)的对应完全嵌入位置。令嵌入水印后的像素用f′(x,y)表示,嵌入时,若w(i,j)与f(x,y)的第k位比特相同,则f′(x,y)取f(x,y);若w(i,j)与f(x,y)的第k位比特不同,则将f(x,y)的第k位比特修改成w(i,j),即把第k位取反。考虑到修改像素的第k位后可能引起该像素发生较大改变,于是,采取弥补优化措施,即同时调整f(x,y)的其他比特位,确保第k位取反后该像素的变化量最小。比如原像素二进制形式为f(x,y)=b8b7…bk…b2b1,找新像素f′(x,y)=p8p7…(1-bk)…p2p1,使|f′(x,y)-f(x,y)|取最小值的新像素值,此即为所求的像素值。
水印嵌入算法具体描述如下:
a. 指定猫映射独立参数a,b,c,迭代次数n与Logistic映射的序列初值z0,使Logistic映射预迭代500次。
b. 取一水印像素w(i,j),令x0=i,y0=j,由式(3)迭代n次,得到x和y;然后,x=x+1, y=y+1(确保1≤x,y≤N)。
c. Logistic映射迭代一次得到zn,由zn确定k:zn〈0.25时,k=2;0.25≤zn〈0.55时,k=3; 0.55≤zn〈0.85时,k=4; 0.85≤zn〈0.98时,k=5;0.98〈zn时,k=6。并求出f(x,y)的第k比特位bk。
d. 若w(i,j)=bk,则取f′(x,y)=f(x,y);否则,执行如下子步骤:
① 先取δ=1;
② 令f1′(x,y)=f(x,y)+δ,或f2′(x,y)=f(x,y)-δ,并分别求出f1′(x,y)和f2′(x,y)的第k比特位b1k和b2k;
③ 若b1k=w(i,j),则f′(x,y)=f1′(x,y),转e.;或若b2k=w(i,j),则f′(x,y)=f2′(x,y),转e.;否则,转步骤④;
④ δ=δ+1,重复步骤②和③。
e. 取下一水印像素,重复该算法中的b.~d.,直到水印像素全部嵌入为止。
2.2 水印的提取
提取水印时需要知道a,b,c,n和z0等密钥参数及水印长度知识。用[AKw~D](i,j)表示提取的水印像素,水印提取算法具体描述如下:
a. 指定猫映射独立参数a,b,c以及迭代次数n与Logistic映射的序列初值z0,使Logistic映射预迭代500次;
b. 对即将提取的水印像素[AKw~D](i,j),令x0=i,y0=j,由式(3)迭代n次,得到x,y;然后,令x=x+1,y=y+1(确保1≤x,y≤N)。
c. Logistic映射迭代一次得到zn。zn〈0.25时,k=2;0.25≤zn〈0.55时,k=3; 0.55≤zn〈0.85时,k=4; 0.85≤zn〈0.98时,k=5;0.98〈zn时,k=6。
d. 计算f′(x,y)的第k位比特pk,得到
=pk。
e. 重复该算法中的b.~d.,直到全部水印像素
(i=1,2,…,M;j=1,2,…,M)被提取为止。
由于提取水印时只依靠密钥,而不需要原始图像和其他辅助记录表,因此,这是一种完全意义上的盲水印方案。
3 实验结果
采用有意义二值图案作为水印,提取水印的准确性除了可直观判别外,还可用提取水印和原水印的归一化相似度CN定量描述;而水印的不可见性既可凭直观判别,也可用水印载体图像的峰值信噪比RPSN指标来定量度量。
a. 归一化相似度CN定义为:

b. 峰值信噪比RPSN定义为:

实验采用Matlab6.5仿真平台。原始图像为8位256×256 Lena灰度图像f(x,y)(1≤x≤256,1≤y≤256);水印为“中南大学”字样的128×128二值图,像素值为w(i,j)={0,1},1≤i≤128, 1≤j≤128。水印容量按水印像素数与载体像素数之比达到了1/4,而文献[10]中水印容量是1/16。实验中取Arnold映射的3个独立参数a=1,b=2,c=3,迭代次数k=20;Logistic混沌迭代序列初值z0=0.2,将水印随机嵌入载体图像(x,y)处像素的第2~6比特位。
图1所示为原始载体图像和原始水印图像。图2所示为嵌入水印后的载体图像(RPSN=44.89)、用正确密钥从中提取的水印(CN=1)和参数z0相差0.00001时从中提取的水印。由此可见,含水印载体图像与原始图像在视觉上分辨不出差别,说明水印的隐蔽性好。当使用正确密钥时,可以完全准确提取水印,且提取水印速度快。不知道准确密钥的非授权者则无法提取正确水印,这正是混沌系统对初始条件敏感性的表现,初值的微小差别将导致提取的水印面目全非,所以,水印具有密码学意义上的安全性。
图3所示为载体图像被剪切10%,30%,40%和50%时,依次从中提取的水印。提取水印的相似度CN分别为0.90,0.70,0.60,0.50;此时被破坏图像的RPSN值已分别降低到15.09, 9.90, 8.55, 7.68。可见,本算法嵌入的水印抗剪切攻击的鲁棒性很好,这是因为采用了随机空间位置嵌入水印的策略。

图 1 原始载体图像和二值水印图像
Fig. 1 Original host image and binary watermark image

图 2 嵌入水印的图像、正确密钥所提取的水印和z0误差为0.00001时所提取的水印
Fig. 2 Watermarked image, extracted watermarks with right secret keys and wrong key z0

图 3 水印载体图像被剪切不同程度时从中提取的水印
Fig. 3 Extracted watermarks from watermarked images cropped under different condition
图4所示为对载体图像像素的最低2位、3位和4位实施破坏攻击后,分别从中提取的水印,破坏的方式是在上述低位中随机将某位取反。结果表明,水印算法对最低4位的攻击是鲁棒的;由于水印嵌入像素的比特位是随机的,所以,提取的水印并没有因遭受攻击的位数增多而明显恶化(CN依次为0.84,0.83和0.82)。
图5所示为当水印载体图像遭受强度为0.03的椒盐噪声攻击后(RPSN=20.77),提取的水印,效果良好(CN=0.98),故采用本算法能抵抗椒盐噪声的攻击。

图 4 载体图像受到不同情况破坏时从中提取的水印
Fig. 4 Extracted watermarks from watermarked images damaged under different condition

图 5 遭受椒盐噪声污染的水印载体图像和从中提取的水印
Fig. 5 Watermarked image and extracted watermark from watermarked image undergo salt-pepper noise
4 结 论
a. 提出了基于广义Arnold变换和Logistic混沌映射的图像空域水印算法。由于Arnold变换是一一映射,嵌入水印不会产生位置冲突现象。
b. 由于混沌运动是由确定性系统产生的随机运动,所以,水印的提取仅依赖于一组与嵌入水印完全相同的密钥参数,而不需要其他任何附加条件,是一种完全意义的盲水印方案。
c. 由于嵌入位置被随机置乱,增加了水印提取的安全性。
d. 嵌入位置在整个像素空间的随机分布性,使得算法具有很强的抵抗剪切攻击、LSB攻击、多低位破坏攻击和椒盐噪声攻击的鲁棒性。
e. 嵌入水印比特时采用的最小像素改变策略,使嵌入大容量水印时,水印仍具有良好的不可见性。
参考文献:
[1]HSU C T, WU J L. Hidden Digital Watermarks in Images[J]. IEEE Transactions on Image Processing, 1999,8(1):58-68.
[2]COX I J, MILLER M L, BLOOM J A. Digital Watermarking[M]. New York: Academic Press, 2002.
[3]LEE C H, LEE Y K. An Adaptive Digital Image Watermarking Technique for Copyright Protection[J]. IEEE Trans on Consumer Electronics, 1999,45(4):1005-1015.
[4]HARTUNG F, KUTTER M. Multimedia Watermarking Techniques [J]. Proc IEEE Int Conf on Digital Watermarking, 1999,87(7):1079-1107.
[5]SHIH F Y, WU S Y T. Combinational Image Watermarking in the Spatial and Frequency Domains[J]. Pattern Recognition, 2003, 36(4): 969-975.
[6]张新鹏,王塑中,张开文. 抗统计分析的LSB密写方案[J]. 中国图像图形学报, 2003,8(9):155-160.
ZHANG Xin-peng, WANG Shuo-zhong, ZHANG Kai-wen. A Novel LSB Steganography Against Statistical Analysis[J]. Journal of Image and Graphics, 2003,8(9):155-160.
[7]张涛,平西建. 空域LSB信息伪装的隐写分析及其对策[J]. 通信学报, 2003, 24(12): 156-163.
ZHANG Tao, Ping Xi-jian. Steganalysis of Spatial LSB-based Steganographic Algorithms and Countermeasures[J]. Journal of China Institute of Communications, 2003,24(12):156-163.
[8]张涛, 平西建. 基于差分直方图实现LSB信息伪装的可靠检测[J]. 软件学报, 2004, 15(1):151-158.
ZHANG Tao, Ping Xi-jian. Reliable Detection of Spatial LSB Steganography Based on Difference Histogam[J]. Journal of Software, 2004,15(1):151-158.
[9]HWANG M S, CHANG C C, HWANG K F. A Watermarking Technique Based on One-way Hash Function[J]. IEEE Trans on Consumer Electronics, 1999,45(2):286-294.
[10]宋琪, 朱光喜, 容太平,等. 一种基于模运算的数字水印隐藏算法[J]. 电子学报, 2002,30(6):890-892.
SONG Qi, ZHU Guang-xi, RONG Tai-ping, et al. A Kind of Digital Watermarking Algorithm Based on Modulo[J]. Acta Electronica Sinica, 2002,30(6):890-892.
[11]陈永红. 基于混沌的图像的数字水印隐藏算法[J]. 计算机仿真, 2003,20(9):63-65.
CHEN Rong-hong. Digital Watermarking Algorithm of Image Based on Chaos[J]. Computer Emulation, 2003,20(9):63-65.
[12]ARNOLD E A, AVEZ A. Ergodic Problems of Classical Mechanics[M]. New Jersey: Benjamin W A,1968.
[13]马在光,邱水生.基于广义猫映射的一种图像加密系统[J]. 通信学报, 2003,24(2): 51-57.
MA Zai-guang, QIU Shui-sheng. An Image Cryptosystem Based on General Cat Map[J]. Journal of China Institute of Communications, 2003,24(2):51-57.
收稿日期:2004-04-05
基金项目:教育部博士点基金资助项目(20040533036); 湖南省自然科学基金资助项目(03JJY4054)
作者简介:朱从旭(1963-),男,湖南武冈人,副教授,博士研究生,从事信息伪装和数字水印研究
论文联系人: 朱从旭,男,副教授;电话:0731-6639036(H); E-mail: zhucongxu@126.com