网络首发时间: 2017-04-25 14:22
稀有金属 2018,42(06),561-566 DOI:10.13373/j.cnki.cjrm.xy17030024
一维四棱柱状Bi2O3纳米棒的微乳法合成及光性能
王亚军 郭梁 李泽雪 于海洋 冯长根
北京理工大学爆炸科学与技术国家重点实验室
摘 要:
纳米氧化铋是一种重要的功能材料, 其可控制备一直是研究的热点。以TritonX-100/正庚烷/正戊醇/水为微乳液体系, 采用反相微乳法合成了一维四棱柱状Bi2O3纳米棒。采用X射线衍射 (XRD) 和扫描电镜 (SEM) 表征了煅烧温度和煅烧时间对Bi2O3样品晶型和微观形貌的影响。表征结果表明, 随煅烧温度增加, 产物由四方相β-Bi2O3向单斜相α-Bi2O3转变, 样品为一维四棱柱状纳米棒, 其直径为50~100 nm, 长为300~600 nm。对前驱体的形成机制进行分析发现, 定向附着、自组织和奥斯瓦尔德熟化在微乳体系合成纳米材料的过程中起到了重要作用。紫外-可见光谱 (UV-Vis) 分析表明, 亚稳相β-Bi2O3 (550 nm) 相比稳定相α-Bi2O3 (460 nm) 具有更宽的可见光响应范围和更窄的禁带宽度 (分别为2.30和2.74 eV) , 属于电子从价带跃迁到导带引起的吸收, 为Bi2O3的直接带隙吸收。荧光光谱 (PL) 表明β-Bi2O3在400~600nm具有宽的发射谱带, 466 nm处的强蓝带发射归属于Bi3+的3P1→1S0跃迁和O2-→Bi3+荷移跃迁, 562 nm处绿峰归属于晶体表面氧空位和生长过程中形成的缺陷。
关键词:
BiO;纳米棒;反向微乳法;光性能;
中图分类号: TB383.1;TQ135.32
作者简介:王亚军 (1975-) , 男, 陕西宝鸡人, 博士, 讲师, 研究方向:纳米材料、功能材料;E-mail:yajunwang@bit.edu.cn;;冯长根, 教授;电话:010-68915065;E-mail:cgfeng@wuma.com.cn;
收稿日期:2017-03-14
基金:国家自然科学基金项目 (11472046);爆炸科学与技术国家重点实验室 (北京理工大学) 自主课题项目 (YBKT16-06) 资助;
Synthesis of One Dimensional Quadrangular Prism Bi2O3 Nanorods by Reverse Microemulsion and Optical Properties
Wang Yajun Guo Liang Li Zexue Yu Haiyang Feng Changgen
State Key Laboratory of Explosion Science and Technology, Beijing Institute of Technology
Abstract:
Bismuth oxide is an important functional material, and its controllable preparation has always been a hot spot for research.One dimensional quadrangular prism Bi2O3 nanorods were controllably synthesized successfully by a reverse microemulsion route with TritonX-100/n-heptane/n-amyl alcohol/water as microemulsion system. X-ray diffraction (XRD) and field-emission scanning electron microscope (FESEM) were employed to characterize the obtained Bi2O3 products. The results showed that with the increase of calcination temperature, tetragonal β-Bi2O3 transformed into monoclinic α-Bi2O3. The as-prepared one dimensional quadrangular prism nanorods were 50 ~ 100 nm in diameter and 300 ~ 600 nm in length. Formation mechanism analysis of the precursor showed that oriented attachment, self-organization and Ostwald ripening played important roles in the formation of the microstructure. Ultraviolet-visible diffuse reflectance spectrum showed that the metastable β-Bi2O3 sample presented photoabsorption property from UV light region to visible light range (absorption band edge was 550 nm, longer than that of stable α-Bi2O3 of 460 nm) , belonging to the absorption caused by electron transition from valence band to conduction band, which was Bi2O3 direct band gap absorption. The band gap of the β-Bi2O3 was estimated to be 2. 30 eV, which was lower than that of α-Bi2O3 of 2. 74 eV. The fluorescence spectrum of quadrangular prism β-Bi2O3 nanorods showed broad emission (400 ~ 600 nm) with a strong blue emission peak at ~ 466 nm due to Bi3+ luminescence from the 3P1 excited states to the 1S0 ground state. The green peak at ~ 562 nm was from an impurity trap associated with oxygen vacancies interacting with interfacial bismuth vacancies.
Keyword:
Bi2O3; nanorod; reverse microemulsion; optical property;
Received: 2017-03-14
氧化铋 (Bi2O3) 纳米材料, 尤其是具有可调控形貌及维度的纳米结构, 由于它们本身具有的尺寸依赖特性及独特而优异的电、光、离子电导特性等, 在电子、化工、光学、光催化剂等众多领域都具有非常广泛的应用[1,2,3]。其微观尺寸和形貌对材料的性能有重要影响。目前制备Bi2O3纳米材料的方法较多, 如金属有机化学气相沉积 (MOCVD) 法[4]、水热法[5,6]、溶剂热法[7,8]、微波法[9,10]、液相沉淀法[11,12,13]及溶胶-凝胶法[14,15]等。
与上述制备方法相比, 微乳法在常温常压下即可进行, 不需要专业化的昂贵设备, 且反应溶剂可蒸馏循环利用, 是一种简易、低成本、环境友好的方法。更重要的是可以实现尺寸、微观形貌、均匀性、比表面积等的调控[16,17,18], 制备出的产品分散性好, 尺寸分布窄。还可以选择包覆不同的表面活性剂以修饰产品性能, 提高其相容性。在微乳法制备纳米Bi2O3方面, 国内外报道的不多。李长青[19]采用微乳法制备了纳米Bi2O3, 并对一些影响因素进行了初步研究, 但只得到了单一颗粒状的纳米Bi2O3粉末。Dong和Zhu[20]以二甲苯/硬脂酸为反应体系, 采用微乳法制备了粒径分布较窄且粒径较小的纳米Bi2O3粒子, 该粒子有硬脂酸修饰。Jing等[21]以反相微乳法合成了不同微观形貌的Bi2O3粉末, 但其形貌不清晰, 粒径较大。
本文经过反复滴定实验, 调配出一种非常稳定的微乳液体系, 即V表面活性剂 (Trion X-100) ∶V助表面活性剂 (正戊醇) ∶V油相 (正庚烷) =1∶1∶2, 其最大增溶水量较高, 适宜大范围改变微乳液体系含水量, 以对纳米材料产物的形貌进行调控。采用该体系, 以草酸为沉淀剂、硝酸铋为铋源, 经微乳法制备出纳米氧化铋前驱体, 经后续热处理得到氧化铋产物。
1 实验
1.1 主要试剂
Bi (NO3) 3·5H2O, 正戊醇 (C5H12O) , 均为分析纯, 国药集团化学试剂有限公司。草酸 (H2C2O4) 、正庚烷 (C7H16) 、曲拉通Trion X-100 (C34H62O11) , 均为分析纯, 西陇化工股份有限公司。硝酸、无水乙醇, 均为分析纯, 北京化工厂。实验用水均为自制去离子水。
1.2 材料制备
采用反相微乳法制备纳米Bi2O3材料。非离子型表面活性剂微乳液体系为Triton X-100/正庚烷/正戊醇/水, 水相为反应液, 油相为正庚烷, 表面活性剂为Triton X-100, 助表面活性剂为正戊醇, 合成纳米氧化铋的工艺流程见图1。
室温下, 取40 ml正庚烷于250 ml烧瓶中, 并加入20 ml正戊醇及20 ml Triton X-100, 磁力搅拌25 min。然后加入浓度为1.5 mol·L-1的草酸溶液2.95 ml, 搅拌25 min, 得澄清透明均一溶液, 为微乳液B。将草酸溶液替换为相同体积的Bi (NO) 3溶液, 浓度为0.5 mol·L-1, 加入硝酸防止水解 (硝酸浓度为3.0 mol·L-1) , 其他组分与微乳液B相同, 搅拌25 min, 得澄清透明均一溶液, 此为微乳液A。用蠕动泵将以草酸溶液为水相的微乳液B逐滴加入以硝酸铋溶液为水相的微乳液A之中, 随着反应的进行, 溶液逐渐变为乳白色, 待滴加完成后, 继续搅拌1 h, 然后静置陈化24 h。将混合微乳液离心分离, 得到氧化铋前驱体。分别用无水乙醇及去离子水洗涤离心3次, 以除去副产物及表面附着的有机物。在75℃真空干燥12 h, 得到白色氧化铋前驱体粉末, 再进行后续热处理即得到纳米氧化铋粉末。
1.3 材料表征及性能测试
采用Bruker D8 Advance型X射线衍射仪 (XRD, 德国布鲁克仪器有限公司) 分析材料样品的晶体结构及纯度, 测试条件为:Cu靶, λ=0.15406 nm, 步长0.02°, 扫描范围2θ为10°~70°。采用Hitachi S-4800型场发射扫描电子显微镜 (FE-SEM, 日本日立公司) 分析样品微观形貌及尺度, 工作电压为15 k V。采用SPECORD200型紫外-可见光分光光度计 (UV-Vis, 德国耶拿 (蔡司) 公司) 分析样品的光吸收性能, 确定样品的光吸收范围及禁带宽度, 扫描范围为200~800 nm。采用FluoroMax-4型荧光分光光度计 (PL, 法国Horiba Jobin Yvon公司) 分析样品的荧光性能, 扫描范围视激发波长与发射波长确定, 测试条件为:氙灯激发源, 激发光波长342 nm, 扫描速率1200 nm·min-1, 狭缝10 nm, 光电倍增管电压400 V, 响应时间0.002 s。

图1 反相微乳法合成纳米氧化铋的工艺流程图Fig.1Schematic synthesis process of nano Bi2O3by reverse microemulsion method
2 结果与讨论
2.1 晶体结构与纯度分析
通常情况下, Bi2O3主要有四种晶型, 即α-Bi2O3 (单斜相) , β-Bi2O3 (四方相) , γ-Bi2O3 (体心立方相) 和δ-Bi2O3 (面心立方相) 。产物的晶型主要受合成条件与煅烧温度的影响。将所得前驱体在不同温度 (275, 300, 325, 350℃) 下煅烧2 h, 所得Bi2O3粉末的XRD图谱见图2。

图2 不同煅烧温度下所得Bi2O3粉末的XRD图谱Fig.2XRD patterns of Bi2O3samples with different calcina-tion temperatures
如图2曲线 (1) 和 (2) 所示, 当煅烧温度在275和300℃时, 其样品的衍射峰均可指标化为四方相氧化铋 (β-Bi2O3) 。在衍射角2θ为27.94°, 32.76°, 46.26°处存在强衍射峰, 分别对应于 (201) , (220) , (222) 晶面, 这与四方相氧化铋 (β-Bi2O3) 的标准卡片 (JCPDS No.78-1793) 完全一致。
如图2曲线 (3) 所示, 当煅烧温度升高至325℃时, 衍射角2θ在27.429°, 33.156°, 46.355°处显示出较强的衍射峰, 分别对应于单斜相氧化铋的 (120) ,
, (041) 晶面衍射, 这与单斜相氧化铋 (α-Bi2O3) 的标准卡片 (JCPDS No.41-1449) 完全一致, 但在衍射角2θ为27.94°, 32.76°, 46.26°处存在较弱的四方相氧化铋 (β-Bi2O3) 衍射峰, 表明在325℃煅烧下, 氧化铋粉末同时存在两种晶型, 但主要为单斜相氧化铋, 存在少量的四方相氧化铋。
如图2曲线 (4) 所示, 当煅烧温度为350℃时, 衍射角2θ在27.429°, 33.156°, 46.355°处显示出较强的衍射峰, 分别对应于单斜相氧化铋的 (120) ,
, (041) 晶面衍射。表明当煅烧温度升高至350℃时, 四方相氧化铋 (β-Bi2O3) 完全转化为单斜相氧化铋 (α-Bi2O3) , 高温有利于单斜相氧化铋 (α-Bi2O3) 的形成。图谱中无其他杂质峰, 表明其具有较好的纯度。
2.2 微观形貌及尺度分析
前驱体的SEM照片见图3 (a) 。固定煅烧温度为325℃, 煅烧不同时间 (1, 4, 24 h) , 所得样品的SEM图片见图3 (b~d) 。由图3 (a) 可见, 前驱体为一维四棱柱状。煅烧对产物形貌有较大影响, 如团聚程度加剧, 粒径增大, 形貌亦随之发生变化等[21]。从图3 (b~d) 可以看出, 随着煅烧时间的延长, 纳米棒形貌出现收缩, 由蓬松变致密。纳米棒直径为50~100 nm, 长为300~600 nm。

图3 Bi2O3前驱体及不同煅烧时间制备的Bi2O3样品的SEM图Fig.3 SEM images of precursor and Bi2O3samples with different calcination time at calcination temperature 325℃ (a) Precursor; (b) 1 h; (c) 4 h; (d) 24 h
2.3 形成机制分析
基于不同反应阶段下前驱体的形貌演变, 推断最终前驱体的形成归因于定向附着、自组装过程与奥斯瓦尔德熟化[22]的共同作用, 如图4所示。微乳液A与微乳液B混合在一起, 成核, 晶核聚集生长为纳米粒子, 由于吸附在其表面的表面活性剂的作用及降低表面能量的需要[23], 纳米粒子会沿二维方向生长, 最终成长为细长的纳米线。随着反应的进行, 这些细长的纳米线逐步定向附着及自组装为纳米束, 最终经奥斯瓦尔德熟化成长为规则的一维四棱柱状纳米棒。同样, 纳米棒碰撞并发生定向附着, 最终熟化为不规则的微米块状体。表面活性剂的物理性质决定了晶体生长、定向附着与自组装的方式。特殊的形貌是纳米结构单元随着反应的进行定向附着及自组装的结果。
2.4 光性能分析
2.4.1 光吸收性能
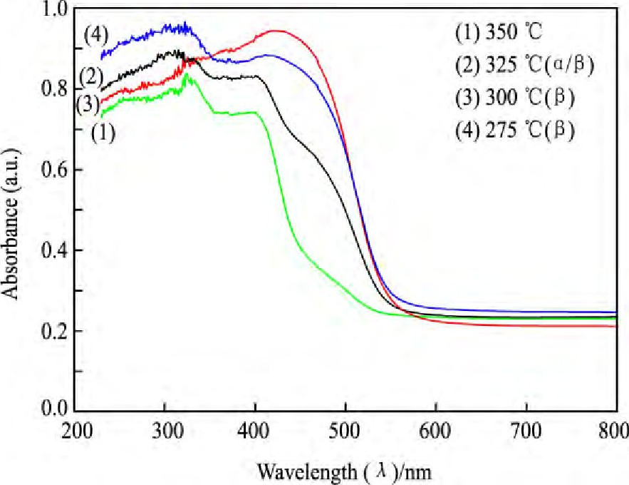
对一维四棱柱状亚稳相β-Bi2O3粉末进行紫外-可见光光吸收性能测试分析。图5是不同煅烧温度下所得样品的紫外-可见光吸收光谱。可以看出, β-Bi2O3在紫外-可见光区 (230~550 nm) 都有显著的光吸收, 其吸收边比较平滑, 属于电子从价带跃迁到导带引起的吸收, 为氧化铋的本征带隙吸收, 而非杂质能级的跃迁。通过比较不同煅烧温度下材料的光吸收性能可以发现, 低温煅烧所得样品具有更宽的可见光吸收范围。低温煅烧 (<325℃, β相或α/β相) 所得Bi2O3的吸收谱带为230 nm<λ<550 nm, 而高温煅烧 (>325℃, α相) 所得Bi2O3的吸收谱带为230 nm<λ<460 nm。可以看出, 相比α相, β或α/β相具有更宽的可见光吸收范围, 即对可见光的响应范围更宽, 其可能是因为β-Bi2O3为亚稳相态, 晶格中有部分氧离子亚晶格处于空位状态, 且不规则分布, 使其具有非常高的缺陷浓度和氧离子流动性, 因此样品在更宽的可见光区具有良好的光吸收能力。

图4 Bi2O3前驱体在样品制备中随时间的形貌演变及形成示意图Fig.4 Schematic diagram of morphological evolution and form-ing mechanism of Bi2O3precursor

图5 一维四棱柱状Bi2O3纳米棒的紫外-可见光吸收光谱图Fig.5 UV-visible absorption spectra of one dimensional quad-rangular prism Bi2O3nanorods
纳米Bi2O3样品的光学禁带宽度 (带隙能) 可根据其光吸收数据推算得出。图6是样品的吸收系数α、光子能量hv和带隙能Eg间的关系图, 在直接带隙半导体中, 吸收系数与光学带隙存在如下关系:

式中A是常数。在 (αhv) 2~hv曲线的高能部分, 两者呈线性关系, 外推这一线性部分至 (αhv) 2=0处可得到样品的光学带隙能Eg。可以看出, 低温煅烧下所得β相Bi2O3的带隙能为Eg=2.30 e V, α/β-Bi2O3的带隙能为Eg=2.29 e V;而高温煅烧下所得α相Bi2O3的带隙能为Eg=2.74 e V。亚稳相β-Bi2O3相较α-Bi2O3具有更窄的带隙能, 而混晶状态下的α/β-Bi2O3的带隙能略低于纯相β-Bi2O3, 推测混晶状态可能存在更多的晶体缺陷。

图6 一维四棱柱状Bi2O3纳米棒的 (αhv) 2~ (hv) 曲线图Fig.6 (αhv) 2~ (hv) curves of one dimensional quadrangular prism Bi2O3nanorods
2.4.2 荧光性能
对一维四棱柱状纳米亚稳相β-Bi2O3样品进行光致发光测试。样品的荧光 (PL) 光谱是在室温下测得的, 所用的激发光源的波长为342 nm, 按照λ=1242.4/Eg (e V) 计算, 对应的能量为3.63 e V。对于纯氧化铋, 其荧光发射主要是由Bi3+和Bi2+的离子内跃迁和包括氧空位在内的复杂的晶体缺陷引发的, 通常出现在可见光区。在紫外光激发下, Bi3+引发的荧光谱带位于可见光波段的蓝-绿光区, 主要归属于3P1→1S0跃迁[24,25]和O2-→Bi3+荷移跃迁[26];Bi2+引发的荧光谱带位于591~637 nm (2.10~1.95 e V) [27,28]波长范围内 (橙-红光区) , 归属于2P3/2 (1) →2P1/2跃迁;与晶体表面氧空位和生长过程中形成的缺陷有关的荧光发射主要出现在低能量区域[29]。
图7为一维四棱柱状β-Bi2O3样品的荧光 (PL) 光谱图。样品在400~600 nm (3.11~2.07e V) 具有宽的发射谱带, 发光峰的中心位于450, 466, 481, 491和562 nm。450, 466, 481和491 nm处的发射峰位于蓝-绿光区, 归属于Bi3+, 是由于电子的3P1→1S0跃迁和O2-→Bi3+荷移跃迁引发的。位于562 nm的绿峰归属于晶体表面氧空位和生长过程中形成的缺陷[30]。

图7 一维四棱柱状β-Bi2O3纳米棒的荧光 (PL) 光谱图Fig.7 Fluorescence spectrum of one dimensional quadrangular prismβ-Bi2O3nanorod
3 结论
采用反相微乳法制备了一维四棱柱状Bi2O3纳米棒, 采用XRD和SEM对样品进行了表征, 分析了形成机制, 采用紫外-可见光分光光度计和荧光分光光度计研究了样品的光吸收性能和荧光性能。Bi2O3纳米棒随煅烧温度不同呈现出不同的晶型, 随煅烧温度升高, 样品由β-Bi2O3逐渐转变为α-Bi2O3, 纳米棒直径为50~100 nm, 长为300~600 nm。表面活性剂起到了模板剂的作用, 特殊形貌是随着时间的进行, 奥斯瓦尔德熟化与定向附着共同作用产生的。紫外-可见光吸收光谱表明, 样品在小于550 nm的紫外-可见光波段有明显光吸收, 亚稳相β-Bi2O3比α-Bi2O3具有更宽的可见光响应范围及更窄的禁带宽度。荧光光谱表明, 样品在400~600 nm具有宽的发射谱带。
参考文献
[1] Zhou L, Wang W Z, Xu H L, Sun S M, Shang M.Bi2O3hierarchical nanostructures:controllable synthesis, growth mechanism, and their application in photocatalysis[J].Chemistry-A European Journal, 2009, 15 (7) :1776.
[2] Tsai S Y, Fung K Z, Ni C T, Chang Y F.Stability of Bi2O3-based ionic conductor and its application on composite cathode[J].ECS Transactions, 2015, 68 (1) :867.
[3] Lv X W, Li Z J, Zhang J J, Yang B C.A facile approach to prepare bismuth oxide nanorods for application in optoelectronic devices[J].Chemistry Letters, 2015, 44 (1) :97.
[4] Kim H W, Lee J W, Shim S H.Study of Bi2O3nanorods grown using the MOCVD technique[J].Sensors&Actuators B:Chemical, 2007, 126 (1) :306.
[5] Liu L, Jiang J, Jin S M, Xia Z M, Tang M T.Hydrothermal synthesis ofβ-bismuth oxide nanowires from particles[J].Cryst.Eng.Comm., 2011, 13 (7) :2529.
[6] Wu C L, Shen L, Huang Q L, Zhang Y C.Hydrothermal synthesis and characterization of Bi2O3nanowires[J].Materials Letters, 2011, 65 (7) :1134.
[7] Yu Z, Zhang J, Zhang H.Facile solvothermal synthesis of porous Bi2O3microsphere and their photocatalytic performance under visible light[J].Micro&Nano Letters, 2012, 7 (8) :814.
[8] Wang J L, Yang X D, Zhao K, Xu P F, Zong L B, YuR B, Wang D, Deng J X, Chen J, Xing X R.Precursor-induced fabrication ofβ-Bi2O3microspheres and their performance as visible-light-driven photocatalysts[J].Journal of Materials Chemistry A, 2013, 1:9069.
[9] Anandan S, Wu J J.Microwave assisted rapid synthesis of Bi2O3short nanorods[J].Materials Letters, 2009, 63 (27) :2387.
[10] Ma M G, Zhu J F, Sun R C, Zhu Y J.Microwave-assisted synthesis of hierarchical Bi2O3spheres assembled from nanosheets with pore structure[J].Materials Letters, 2010, 64 (13) :1524.
[11] Gou X, Li R, Wang G, Chen Z, Wexler D.Roomtemperature solution synthesis of Bi2O3nanowires for gas sensing application[J].Nanotechnology, 2009, 20 (49) :495501.
[12] Wu Y C, Chaing Y C, Huang C Y, Yang H Y.Morphology-controllable Bi2O3crystals through an aqueous precipitation method and their photocatalytic performance[J].Dyes&Pigments, 2013, 98 (1) :25.
[13] Yang L L, Han Q F, Zhao J, Zhu J W, Wang X, Ma W H.Synthesis of Bi2O3architectures in DMF-H2O solution by precipitation method and their photocatalytic activity[J].Journal of Alloys and Compounds, 2014, 614:353.
[14] Karunakaran C, Magesan P, Gomathisankar P.Photocatalytic activity of sol-gel derived Bi2O3-Ti O2nanocomposite[J].Materials Science Forum, 2012, 712:73.
[15] Li J Z, Zhong J B, Zeng J, Feng F M, He J J.Improved photocatalytic activity of dysprosium-doped Bi2O3prepared by sol-gel method[J].Materials Science in Semiconductor Processing, 2013, 16 (2) :379.
[16] Hu A X, Yao Z G, Yu X.Phase behavior of a sodium dodecanol allyl sulfosuccinic diester/n-pentanol/methyl acrylate/butyl acrylate/water microemulsion system and preparation of acrylate latexes by microemulsion polymerization[J].Journal of Applied Polymer Science, 2009, 113 (4) :2202.
[17] Pileni M P.Nanocrystals:fabrication, organization and collective properties[J].Comptes Rendus Chimie, 2003, 6 (8) :965.
[18] Khadzhiev S N, Kadiev K M, Yampolskaya G P, Kadieva M K.Trends in the synthesis of metal oxide nanoparticles through reverse microemulsions in hydrocarbon media[J].Advances in Colloid and Interface Science, 2013, 197-198:132.
[19] Li C Q.Preparation via Microemulsion Processing Route, Characterization and Studies on Properties for Bi2O3and Bi2Sn2O7Powders[D].Fuzhou:Fuzhou University, 2004.14. (李长青.Bi2O3和Bi2Sn2O7粉体的微乳法制备、表征及其性质的研究[D].福州:福州大学, 2004.14.)
[20] Dong W T, Zhu C S.Optical properties of surfacemodified Bi2O3nanoparticles[J].Journal of Physics and Chemistry of Solids, 2003, 64 (2) :265.
[21] Jing H H, Chen X Q, Jiang X Y.Controlled synthesis of basic bismuth nitrate by reverse microemulsion[J].Micro&Nano Letters, 2011, 6:196.
[22] Mi Y, Huang Z Y, Hu F L, Li Y F, Jiang J Y.Room-temperature synthesis and luminescent properties of single-crystalline Sr Mo O4nanoplates[J].The Journal of Physical Chemistry C, 2009, 113 (49) :20795.
[23] Xu H L, Wang W Z, Zhou L.A growth model of single crystalline hollow spheres:oriented attachment of Cu2O nanoparticles to the single crystalline shell wall[J].Crystal Growth&Design, 2008, 8 (10) :3486.
[24] Blasse G, Hao Z.The luminescence of yitria stabilized zirconia doped with Bi2O3[J].Materials Research Bulletin, 1984, 19 (84) :1057.
[25] Vila M, Díaz-Guerra C, Piqueras J.Luminescence and Raman study ofα-Bi2O3ceramics[J].Materials Chemistry&Physics, 2012, 133 (1) :559.
[26] Zorenko Y, Gorbenko V, Voznyak T, Jary V, Nikl M.Luminescence spectroscopy of Bi3+single and dimer centers in Y3Al5O12:Bi single crystalline films[J].Journal of Luminescence, 2010, 130 (10) :1963.
[27] Srivastava A M.Luminescence of palent bismuth in M2+BPO5 (M2+=Ba2+, Sr2+and Ca2+) [J].Journal of Luminescence, 1998, 78 (4) :239.
[28] Gaft M, Reisfeld R, Panczer G, Boulon G, Saraidarov T, Erlish S.The luminescence of Bi, Ag and Cu in natural and synthetic barite Ba SO4[J].Optical Materials, 2001, 16 (1) :279.
[29] Kumari L, Lin J H, Ma Y R.One-dimensional Bi2O3nanohooks:synthesis, characterization and optical properties[J].Journal of Physics Condensed Matter, 2007, 19 (40) :406204.
[30] Tseng T K, Choi J, Jung D W, Davidson M, Holloway P H.Three-dimensional self-assembled hierarchical architectures of gamma-phase flowerlike bismuth oxide[J].ACS Applied Materials&Interfaces, 2010, 2 (4) :943.