DOI: 10.11817/j.issn.1672-7207.2016.03.031
配置预应力钢板箍RC墩柱震损后轴压性能试验
黄群贤1,王阳杰1,郭子雄1,陈建华2,赖有泉2
(1. 华侨大学 土木工程学院,福建省结构工程与防灾重点实验室,福建 厦门,361021;
2. 福建省第一公路工程公司,福建 泉州,362021)
摘要:为研究配置预应力钢板箍(prestressed steel jacket,PSJ)RC墩柱遭受地震破坏后的抗倒塌能力,通过对配置PSJ墩柱进行低周往复加载以模拟震损墩柱,进行7个带PSJ墩柱震损试件的轴压性能试验,研究参数包括钢板箍配箍特征值和箍板预应力度。研究结果表明:配置PSJ对震损墩柱的轴压性能影响显著,震损带PSJ墩柱的抗倒塌能力远比震损无PSJ墩柱的大;在轴压试验过程中,震损带PSJ墩柱的破坏集中在试件中部,呈现轴压试件的典型破坏特征;在竖向荷载作用下,PSJ对震损墩柱仍能提供良好的横向约束,使带PSJ墩柱具有较强的抗倒塌能力;配箍特征值越大,带PSJ墩柱的轴压承载力和变形能力越强;箍板预应力度对震损墩柱的轴压承载力影响较小,但震损墩柱的变形能力随着箍板预应力度的提高而降低。
关键词:RC墩柱;预应力钢板箍;震损;轴压性能;抗倒塌能力
中图分类号:TU375.1 文献标志码:A 文章编号:1672-7207(2016)03-0953-06
Axial compression behavior of damaged PSJ reinforced concrete piers
HUANG Qunxian1, WANG Yangjie1, GUO Zixiong1, CHEN Jianhua2, LAI Youquan2
(1. College of Civil Engineering, Key Laboratory for Structure Engineering and Disaster Prevention of Fujian Province,
Huaqiao University, Xiamen 361021, China;
2. Fujian First Highway Engineering Company, Quanzhou 362021, China)
Abstract: Seven damage RC piers equipped with prestressed steel jacket (PSJ) were tested under axial compression to investigate the anti-collapse capacity of these damage members under earthquake, and the earthquake damage was stimulated through the low cycle loading. The test parameters included the PSJ amount and prestressing level. The results show that PSJ has a significant influence on the axial compressive performance of the damaged piers, and the anti-collapse capacity of PSJ piers is better. The failure characteristics of damaged PSJ piers under axial compression are almost the same as the typical damage characteristics of normal piers in axial compression test, and the damage mainly occurs at the central height of the pier. PSJ provides good lateral confinement to the piers, and the PSJ piers have good anti-collapse capacity. With the increase of PSJ amount, the bearing capacity and deformation capacity of retrofit of the PSJ retrofit piers increase. The prestressing level of PSJ has few influence on the axial bearing capacity, but the deformation ability of damaged PSJ piers reduces with the improvement of prestressing level.
Key words: RC circular piers; prestressed steel jacket(PSJ); earthquake damage; axial compression behavior; anti-collapse capacity
墩柱作为桥梁的主要承重和抗侧力构件,其破坏将导致桥梁结构的整体倒塌,造成重大的人员和财产损失。近年来,大量桥梁结构破坏的惨重教训[1]表明:我国大量桥梁结构存在抗震性能不足的安全隐患,急需进行补强和加固处理[2]。目前,墩柱的加固方法主要有粘贴FRP加固法[3]、增大截面加固法、黏钢加固法等,但这些加固方法普遍存在应力滞后的问题。为解决加固构件应力滞后的问题,国内外学者对采用横向预应力加固的技术进行了大量探索[4-6]。SAATCIOGLU等[7]采用钢条带对基底钢筋搭接区施加横向预应力,结果表明施加横向预应力可有效提高基底钢筋搭接区的抗震性能。MEDIZAD等[8-9]通过夹钳式法对纤维布施加预应力,损伤及配箍量不足的RC柱在加固后抗震性能均得到了显著改善。考虑已有预应力加固技术成本较高且施工工艺复杂,郭子雄等[10-13]提出了预应力钢板箍(PSJ)加固技术,并对该加固方法进行了系统研究,结果表明预应力钢板箍加固施工简便,解决了加固成本高、施工工艺复杂等问题,同时,PSJ改善了加固构件应力滞后的问题,在结构二次加载的初期就可对核心区混凝土提供良好的横向约束,明显改善加固结构的受力性能。采用PSJ加固可有效提高桥梁抗震性能,避免在地震过程中发生坍塌。然而,大量桥梁遭受地震作用后,墩柱震损破坏严重甚至发生倒塌[14]。为了解配置PSJ墩柱震损后的抗倒塌能力,本文作者在前期预应力钢板箍RC墩柱抗震性能试验研究的基础上,进行配置PSJ墩柱震损后轴压性能试验研究。
1 墩柱震损试件概况
1.1 试件概况
为模拟震损的配置PSJ墩柱,对8个配置PSJ的RC圆形截面墩柱进行水平低周往复加载试验[13]。对比墩柱在水平位移幅值达1/35时,终止加载;配置PSJ墩柱在水平位移幅值达1/20时,终止加载。墩柱完成水平低周往复加载后,均未进行加固修复,以模拟震损试件。
墩柱震损前的具体几何尺寸和配筋构造如图1所示。图中:12
14表示试件HRB335钢筋数量为12根,直径为14 mm;
6@150表示HRB235钢筋直径为6 mm,间距为150 mm。试件编号和震损前试件的主要试验研究参数如表1所示,其中PC1为未加固对比墩柱,其余墩柱均采用PSJ进行加固。试件混凝土28 d立方体抗压强度平均值为35.75 MPa。墩柱钢筋和加固钢板的材性如表2所示。

图1 试件尺寸及配筋
Fig. 1 Dimension and reinforcement details of specimens
表1 试件试验参数
Table 1 Main test parameters of specimens

表2 钢筋及箍板材料力学性能
Table 2 Material properties of reinforcement and hoop strip

1.2 低周往复加载试验结果
墩柱低周往复加载试验的典型滞回曲线和震损破坏形态分别如图2和图3所示。墩柱骨架曲线如图4所示,骨架曲线主要特征点如表3所示。对比墩柱PC1加载至1/35位移角时,剪切裂缝发展并贯通,发生剪切破坏,如图3(a)所示。
配置PSJ墩柱由于箍板的作用,墩柱的破坏形态由剪切破坏转变为弯剪破坏,墩柱的承载能力、延性及耗能能力明显提高,分别如图4和表3所示。配置PSJ墩柱典型破坏形态如图3(b)所示。对于不同配箍特征值墩柱,随着配箍特征值的增大,试件裂缝分布区域减小。

图2 试件典型荷载P-位移Δ曲线
Fig. 2 Typical hysteretic of specimens

图3 墩柱典型破坏形态
Fig. 3 Typical failure modes of specimens

图4 骨架曲线
Fig. 4 Skeleton curves
表3 骨架曲线主要特征点
Table 3 Test value of key points in skeleton curves

2 震损墩柱轴压性能试验
2.1 加载装置
轴压试验加载装置采用10 MN电液伺服长柱试验机。加载过程采用力与位移混合控制。首先以2 kN/s的速度加载至1 200 kN,之后转为位移控制,以0.4 mm/min的速度加载至荷载降至最大荷载的75%后终止加载。
2.2 变形量测
主要量测参数包括墩柱轴向变形、原塑性铰区局部变形和钢板箍应变。在地梁顶面及墩柱850 mm高处植入钢筋,安装2个位移计,以量测墩柱总轴向变形。墩柱下部400 mm范围内安装2个引伸仪,以量测主要震损区域的轴向变形。变形量测布置如图5所示。箍板应变通过6个应变计进行量测,应变计布置和箍板编号(P1~P4)如图6所示。所有力、位移、应变信号均通过DH3816数据采集仪采集,由计算机自动存储。

图5 位移计布置
Fig. 5 Layout of LVDTs

图6 箍板应变计布置
Fig. 6 Layout of strain gauges
3 轴压性能试验结果及分析
3.1 破坏过程及破坏形态
由于震损对比墩柱PC1发生剪切破坏,随着荷载增加,裂缝很快沿剪切斜裂缝扩展。墩柱达到最大承载力(2 119 kN)后,混凝土沿剪切斜裂缝外鼓并不断剥落,墩柱底部混凝土压酥,轴向承载力迅速下降。在震损配置PSJ墩柱加载过程中,各墩柱的破坏过程基本相似。在加载初期,原震损水平弯曲裂缝受压闭合。当荷载增大至最大荷载的80%左右时,墩柱中部箍板间混凝土出现竖向裂缝。随着荷载的增大,裂缝宽度不断增大,并不断有新的裂缝产生,混凝土逐渐起皮、剥落。墩柱达到最大承载力后,大量混凝土压溃剥落。墩柱PC5和PC6承载力下降至最大承载力的81%和86%时,箍板P3和P2分别沿焊缝处断裂,墩柱承载力急剧下降。各墩柱的最终破坏形态如图7所示。由图7可见:配置PSJ震损墩柱的轴压试验破坏形态与未震损墩柱的破坏形态相似。在震损墩柱轴压试验过程中,由于PSJ箍板具有良好约束作用,临界破坏区域并不会出现在原震损柱底塑性铰区域,而是出现在墩柱的中部。对于配箍特征值相同的桥墩,箍板预应力度增大可延缓试件的开裂和起皮。对于箍板预应力度相同的墩柱,配箍特征值增大,裂缝分布更 均匀。
3.2 骨架曲线和主要特征点
所有墩柱的骨架曲线如图8所示,骨架曲线主要特征点试验结果如表4所示。表4中:Pm和Δm为最大荷载及其所对应的位移,Δu为极限变形,指墩柱承载力下降至最大承载力的80%时所对应的变形值。
由图8和表4可以看出:震损对比墩柱PC1的初始刚度较震损带PSJ墩柱低。这主要由于对比墩柱PC1的破坏面为原震损剪切破坏面,而震损配置PSJ墩柱原损伤主要为弯曲裂缝,对轴压刚度影响较小。震损配置PSJ墩柱的轴压承载力和变形能力远比震损对比墩柱PC1的大,震损带PSJ墩柱仍具有较强的抗倒塌能力。对于相同配箍特征值的震损配置PSJ墩柱,改变箍板预应力度对震损墩柱轴压承载力影响不大,但箍板预应力度越高,加载后期墩柱承载力下降越快,变形能力越弱。对于预应力度相同的配置PSJ墩柱,配箍特征值越大,震损墩柱的轴压承载力和变形能力越大。配箍特征值越大,震损配置PSJ墩柱的承载力下降越缓慢,变形越充分。

图7 试件最终破坏形态
Fig. 7 Ultimate failure modes of specimens

图8 试件荷载P-变形Δ曲线
Fig. 8 Load-deformation curves of damage specimens
表4 试件主要特征点试验结果
Table 4 Test results at main characteristic points of specimens

3.3 钢板箍应变分析
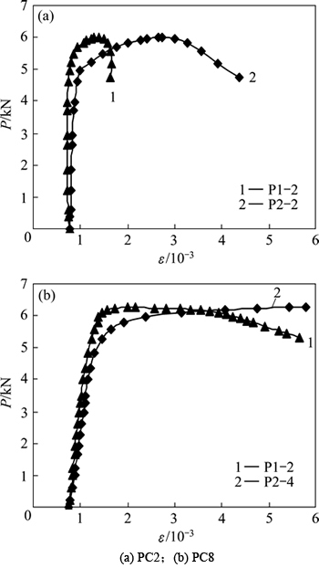
箍板的典型荷载-应变曲线如图9所示。从图9可以看出:箍板的应变发展具有明显的阶段性特征。在初始加载阶段,箍板的应变变化较小;当加载至约最大荷载的80%时,竖向裂缝数量增加,箍板应变增长速度加快,箍板P2应变达1×10-3;当接近最大承载力时,箍板应变快速增长,并达到屈服应变。墩柱PC2在达到极限承载力后,由于破坏集中于墩柱中部,箍板P2应变不断增大并达到屈服应变,而墩柱底箍板P1的应变减小,逐渐退出工作。配箍特征值最大墩柱PC8在达到极限承载力后,由于墩柱裂缝分布均匀,在加载后期,各箍板的应变均不断增大,并均达到屈服应变。
当试件达到最大承载力时,箍板P2均已屈服,这表明施加预应力后箍板充分发挥了自身的强度,震损配置PSJ墩柱在竖向荷载作用下,PSJ仍能对墩柱提供良好的横向约束。

图9 典型钢板箍荷载P-应变ε曲线
Fig. 9 Typical load-strain curves of PSJ
4 结论
1) 配置PSJ对震损墩柱的轴压性能影响显著,配置PSJ震损墩柱的抗倒塌能力远比无PSJ震损墩柱的能力大。
2) 在轴压试验中,震损带 PSJ墩柱的破坏集中在试件中部,呈现轴压试件的典型破坏特征。
3) 在竖向荷载作用下,PSJ对震损墩柱仍能提供良好的横向约束,使震损带PSJ墩柱具有较强的抗倒塌能力。
4) 配箍特征值越大,配置PSJ墩柱的轴压承载力和变形能力越大。
5) 箍板预应力度对震损墩柱的轴压承载力影响较小,但震损墩柱的变形能力随着箍板预应力度的提高而降低。
参考文献:
[1] 王东升, 郭迅, 孙治国, 等. 汶川大地震公路桥梁震害初步调查[J]. 地震工程与工程振动, 2009, 29(3): 84-94.
WANG Dongsheng, GUO Xun, SUN Zhiguo, et al. Damage to highway bridges during Wenchuan Earthquake[J]. Journal of Earthquake Engineering and Engineering Vibration, 2009, 29(3): 84-94.
[2] 张广锋, 任伟新, 陈亮, 等. 东日本大地震中抗震加固后的公路桥的震害特点[J]. 土木工程学报, 2013, 46(S): 239-244.
ZHANG Guangfeng, REN Weixin, CHEN Liang, et al. Seismic damage of retrofitted highway bridges in the 2011 Great East Japan Earthquake[J]. China Civil Engineering Journal, 2013, 46(S): 239-244.
[3] PESSIKI S, HARRIES K A, KESTNER J T, et al. Axial behavior of reinforced concrete columns confined with FRP jackets[J]. Journal of Composites for Construction (ASCE), 2001, 5(4): 237-245.
[4] 周长东, 白晓彬, 赵锋, 等. 预应力纤维布加固混凝土圆形截面短柱轴压性能试验[J]. 建筑结构学报, 2013, 34(2): 131-140.
ZHOU Changdong, BAI Xiaobin, ZHAO Feng, et al. Experimental study on circular concrete short columns strengthened with pre-stressed FRP under axial compression[J]. Journal of Building Structures, 2013, 34(2): 131-140.
[5] MORTAZAVI A, PILAKOUTAS K, SON K S. RC column strengthening by lateral pretensioning of FRP[J]. Construction and Building Materials, 2003, 17(6): 491-497.
[6] YAN Z H, PANTELIDES C P, REAVELEY L D. Posttensioned FRP composite shells for concrete confinement[J]. Composites for Construction, 2007, 11(1): 81-90.
[7] SAATCIOGLU M, YALCIN C. External prestressing concrete columns for improved seismic shear resistance[J]. Journal of Structural Engineering, 2003, 129(8): 1057-1070.
[8] TALEIE S M, MOGHADDAM H A. Experimental and analytical investigation of square RC columns retrofitted with pre-stressed FRP strips[C]// 8th International Symposium on FRP Reinforcement for Concrete Structures. Patras, Greece: FRPRS, 2007: 16-18.
[9] TETSUO Y, MEHDI B, SHOGO F. Emergency retrofit of shear damaged extremely short RC columns using pretensioned agamid fiber belts[J]. Journal of Advanced Concrete Technology, 2005, 3(1): 95-116.
[10] 郭子雄, 张杰, 杨勇. 设置外包预应力钢板箍RC短柱抗震性能研究[J]. 哈尔滨工业大学学报, 2006, 38(1): 140-144.
GUO Zixiong, ZHANG Jie, YANG Yong. Study on the seismic performance of RC column confined by prestressed steel plate hoops[J]. Journal of Harbin Institute of Technology, 2006, 38(1): 140-144.
[11] 郭子雄, 张杰, 李传林. 预应力钢板箍加固高轴压比框架柱抗震性能研究[J]. 土木工程学报, 2009, 42(12): 112-117.
GUO Zixiong, ZHANG Jie, LI Chuanlin. Seismic strengthening of rectangular RC columns using prestressing steel jackets[J]. China Civil Engineering Journal, 2009, 42(12): 112-117.
[12] 郭子雄, 吴毅彬, 曾建宇. 预应力钢板箍加固RC短柱抗剪承载力试验研究[J]. 工程力学, 2010, 27(3): 138-144.
GUO Zixiong, WU Yibin, ZENG Jianyu. Experimental study on shear bearing capacity of RC short column retrofitted by prestressed steel jacket[J]. Engineering Mechanics, 2010, 27(3): 138-144.
[13] 郭子雄, 曾建宇, 黄群贤, 等. 预应力钢板箍加固RC柱轴压性能试验研究[J]. 建筑结构学报, 2012, 33(11): 124-131.
GUO Zixiong, ZENG Jianyu, HUANG Qunxian, et al. Experimental study on axial compression behavior of RC columns retrofitted by prestressed steel jackets[J]. Journal of Building Structures, 2012, 33(11): 124-131.
[14] 管仲国, 李建中, 范立础. 公路桥梁合理抗震设防理念研究[J]. 土木工程学报, 2010, 43(4): 99-104.
GUAN Zhongguo, LI Jianzhong, FAN Lichu. Rational seismic fortification for highway bridges[J]. China Civil Engineering Journal, 2010, 43(4): 99-104.
(编辑 刘锦伟)
收稿日期:2015-03-23;修回日期:2015-05-29
基金项目(Foundation item):国家自然科学基金资助项目(51578254,51208219);福建省科技计划项目(2015Y4007,2014J05061) (Projects(51578254, 51208219) supported by the National Natural Science Foundation of China; Project(2015Y4007, 2014J05061) supported by the Science and Technology Plan of Fujian Province, China)
通信作者:郭子雄,博士,教授,从事工程结构抗震与防灾研究;E-mail: guozxcy@hqu.edu.cn