DOI: 10.11817/j.issn.1672-7207.2016.10.035
考虑损伤及非饱和效应的炭质泥岩路堤稳定性分析
曾铃1, 2,邱祥3,付宏渊3,蒋中明4,王桂尧2,何忠明3
(1. 长沙理工大学 道路结构与材料交通行业重点实验室,湖南 长沙,410076;
2. 长沙理工大学 土木与建筑学院,湖南 长沙,410076;
3. 长沙理工大学 交通运输工程学院,湖南 长沙,410076;
4. 现代公路交通基础设施先进建养技术湖南省协同创新中心,湖南 长沙,410004)
摘要:为了分析降雨条件下炭质泥岩路堤的稳定性,基于考虑岩土体损伤的Hoek-Brown准则,结合非饱和抗剪强度理论,提出一种考虑损伤及非饱和效应的路堤稳定性分析方法,并利用该方法对算例炭质泥岩路堤的降雨入渗过程及稳定性进行研究。研究结果表明:提出的路堤稳定性分析方法具有较强的针对性和实用性,能够同时考虑损伤及非饱和效应对路堤稳定性的影响;在降雨条件下,边坡表层孔隙水压力变化幅度、暂态饱和区形成范围均与降雨强度、降雨时间呈正比;在降雨过程中,边坡表层孔隙水压力逐渐增大,暂态饱和区自坡面向路堤内部不断延伸,路堤表层及内部塑性区沿坡面及路堤内部不断向坡顶延伸,路堤安全系数逐渐降低;降雨停止后,边坡表层孔隙水压力持续降低,暂态饱和区自上往下逐渐消散,路堤表层及内部塑性区均先增加后减小,路堤安全系数先小幅度降低,后持续增大。
关键词:损伤变量;非饱和效应;暂态饱和区;塑性区;安全系数
中图分类号:TU441 文献标志码:A 文章编号:1672-7207(2016)10-3546-09
Stability analysis of carbonaceous mudstone embankment considering damage and unsaturation effect
ZENG Ling1, 2, QIU Xiang3, FU Hongyuan3, JIANG Zhongming4, WANG Guiyao2, HE Zhongming3
(1. Key Laboratory of Road Structure and Material of Ministry of Transport,
Changsha University of Science & Technology, Changsha 410076, China;
2. School of Civil Engineering & Architecture, Changsha University of Science & Technology, Changsha 410076,China;
3. School of Transportation Engineering, Changsha University of Science & Technology, Changsha 410076, China;
4. Co-Innovation Center for Advanced Construction and Maintenance Technology of
Modern Transportation Infrastructural Facility, Changsha 410004, China)
Abstract: In order to analyze the stability of carbonaceous mudstone embankment in the condition of rainfall, a stability analysis method of embankment that can consider the damage and unsaturation effect by combing the unsaturated shear strength theory was proposed based on Hoek-Brown criterion which considers the damage of soil, and the rainfall infiltration process and stability of carbonaceous mudstone embankment example were studied. The results show that the stability analysis method of embankment is strongly relevant and practical, which simultaneously considers the impact of damage and unsaturation effect on the embankment stability. Under the condition of rainfall, the change amplitude of pore water pressure of slope surface and the formed scope of transient saturated zone are directly proportional to the rainfall intensity and rainfall time. In the process of rainfall, the pore water pressure of slope surface increases gradually; the transient saturated zone extends constantly from the slope surface to the embankment internal; the plastic zone of slope surface and embankment internal extends constantly from the slope surface and embankment internal to the slope top; the safety factor of embankment decreases gradually. When the rain stops, the pore water pressure of slope surface decreases consistently, the transient saturated zone dissipates gradually from top to bottom, the plastic zone of slope surface and embankment internal decreases first and increases later, the safety factor of carbonaceous mudstone embankment reduces slightly first, then continues to increase.
Key words: damage variable; unsaturated effect; transient saturated zone; plastic zone; safety factor
我国南方地区的大量路堤边坡失稳实例表明降雨是诱发路堤边坡失稳的主要环境因素之一[1-2]。近年来,部分学者在降雨条件下路堤边坡失稳机制及稳定性影响因素方面开展了许多研究。一般地,一方面,降雨会引起路堤内部土体的含水率增加,孔隙水压力升高,土体的重度增大,路堤的下滑力不断增大;另一方面,降雨会引起路堤内部非饱和区土体的基质吸力丧失,抗剪强度降低,路堤的抗滑力持续减小,进而导致降雨条件下路堤的稳定性逐渐降低,直至出现失稳破坏[3-4]。现有研究在对边坡稳定性进行分析时,通常采用的边坡稳定性分析方法可以归纳为以下3种:1) 基于饱和-非饱和渗流计算原理,并结合非饱和抗剪强度理论对边坡稳定性进行计算。该方法虽然考虑了土体的非饱和抗剪强度,但是忽略了土体损伤、含水率及渗透力变化的影响[5-6]。2) 在前者基础上,通过将土体重度与渗透力进行增量离散进一步考虑了土体含水率及渗透力变化对边坡稳定性的影响,但仍没有考虑土体的损伤效应[7-8]。3) 根据边坡内部地下水的位置及土体的损伤程度,同时考虑渗透力及土体损伤对边坡稳定性的影响。此方法忽略了土体含水率及非饱和抗剪强度的影响[9-10]。分析以上3种边坡稳定性计算方法可知,已有的边坡稳定性分析方法考虑的边坡稳定性影响因素并不全面,均具有一定的局限性。炭质泥岩在我国广西地区分布非常广泛,在考虑环境保护及节约耕地等条件下,常常被用于路堤的填筑,其用于路堤填筑的可行性已经得到验证[11]。由室内试验结果可知,炭质泥岩崩解后呈现泥化现象,雨水在其内部的流动具有典型的非饱和土渗流特征,且强度随着崩解泥化程度的增大而逐渐降低,因此,单独采用上述3种方法很难准确地对同时考虑材料损伤及非饱和渗流条件下的路堤稳定性进行分析,需研究适合炭质泥岩路堤的稳定性分析方法。为此,本文作者提出1种能综合考虑土体含水率、孔隙水压力、渗透力变化及材料损伤的路堤稳定性分析方法。同时,在分析降雨条件下炭质泥岩路堤渗流特征及暂态饱和区发展规律的基础上,利用该方法对不同时间的炭质泥岩路堤塑性区分布及安全系数变化规律进行研究。
1 考虑损伤及非饱和效应的路堤稳定性分析基本理论与方法
1.1 基于Hoek-Brown准则的岩土体损伤研究
广义Hoek-Brown准则中的破坏经验判据表达式为[12]
(1)
式中:σ1和σ3分别为岩体破坏时的最大、最小主应力;σci为完整岩块的单轴抗压强度;mb为岩体常数,反映的是岩体的软硬程度;s和a为与岩体特性有关的材料参数。以上Hoek-Brown准则中的参数都可以由地质强度指标GSI的函数来表述[13]:
(2)
(3)
(4)
式中:mi为从完整岩石三轴实验中得到的曲线拟合参数;D为岩体弱化因子,与岩体的开挖扰动、崩解程度相关,取值为0~1。本文计算所取的岩体弱化因子D采用CT损伤变量来表示(损伤变量D取值仍然满足0~1的约束,0表示无损伤,1表示完全损伤),以此考虑预崩解对炭质泥岩强度损伤的影响。
Mohr-Coulomb准则下土的极限平衡条件为
(5)
式中:
;c和f分别为黏聚力和摩擦角。为了建立一种可以将考虑了岩土体损伤的Hoek-Brown准则参数向Mohr-Coulomb准则参数转换的关系式,首先,基于式(1)生成一系列σ1和σ3的数据点(如图1所示);其次,采用式(5)对数据点进行拟合,得到岩体等效黏聚力c和内摩擦角f分别为:

图1 Hoek-Brown准则和Mohr-Coulomb准则的最大主应力和最小主应力关系
Fig. 1 Relationship between the maximum principal stress and the minimum principal stress of Hoek-Brown criterion with Mohr-Coulomb criterion
(6)
(7)
式中:
;
;
;
;
;γ为岩体容重;H为边坡高度;σcm为表征岩体强度,
。
将fa,fb和fc分别代入式(6)与式(7),得到用mb,s和a等参数表示的考虑了岩体损伤的等效黏聚力与等效内摩擦角为:
(8)
(9)
1.2 考虑损伤及非饱和抗剪强度的Mohr-Coulomb破坏准则
18世纪70年代,库仑提出了描述土体抗剪强度的Mohr-Coulomb破坏准则[14]:
(10)
式中:
为抗剪强度;
为有效黏聚力;σ为正应力;
为有效摩擦角。式(10)主要适用于不考虑地下水位线以上基质吸力时岩土体抗剪强度的计算。当需要考虑地下水位以上基质吸力时,通常采用FENG等[15]提出的非饱和抗剪强度公式:
(11)
式中:uw为孔隙水压力;ua为孔隙气压力,本文中孔隙气压力为大气压力,即ua=0;φb为基质吸力增加引起抗剪强度增加的曲线的倾角。将式(11)按照ua=0,φb为常数进行整理得
(12)
(13)
式中:c′为非饱和等效黏聚力。式(12)即为基于非饱和抗剪强度理论的Mohr-Coulomb破坏准则。
将式(8)代入式(12),并整理得:

(14)

(15)
式中:c″为同时考虑损伤及非饱和抗剪强度的等效黏聚力。式(14)即为同时考虑损伤及非饱和抗剪强度的Mohr-Coulomb破坏准则。
1.3 考虑损伤及非饱和效应的路堤稳定性分析方法
考虑损伤及非饱和效应的路堤边坡稳定性分析方法是通过Geo-studio及FLAC3D这2个软件平台实现的,其计算流程如图2所示。首先,采用Geo-studio软件对降雨条件下路堤边坡的饱和-非饱和渗流场进行计算,得出不同降雨时间边坡内部孔隙水压力、暂态饱和区在时间和空间上的分布情况。其次,通过在FLAC3D中编写用户子程序,将某一时间饱和-非饱和渗流计算所得到的孔隙水压力及饱和度分区导入FLAC3D软件中,同时,利用FLAC3D软件Fish语言,根据各单元的饱和度情况,通过在饱和重度与干重度之间线性插值的方法,修改材料的重度;将式(9)和式(15)计算所得的强度参数设置为稳定性计算的力学参数。最后,应用FLAC3D软件先分析降雨导致边坡渗流场改变引起的塑性区变化情况,然后运用强度折减法对该时间的边坡稳定性进行计算。

图2 路堤稳定性计算流程
Fig. 2 Calculation process of embankment stability
2 算例分析
2.1 降雨条件下炭质泥岩路堤渗流特征分析
2.1.1 数值计算模型及方案
广西六寨—河池高速公路K19+133处,路面宽为60 m,填方高度为12 m,路堤坡比按照1:1.6进行控制,路床(0~0.8 m)采用具有良好隔水效应的黏土按照96%的压实度填筑,而路床以下的上路堤(0.8~1.5 m)与下路堤(大于1.5 m)则采用经过充分崩解后的炭质泥岩颗粒分别按照94%和93%的压实度进行填筑,路堤包边厚度取1.0 m。路堤内部地下水位位于路堤边坡底部1.5 m处,且在路堤中部向上缓慢延伸。由于路堤两侧对称,故选取路堤横断面的一半作为研究对象。路堤典型横断面二维有限元网格及初始地下水位线如图3所示,计算模型单元数为6 454个,节点数为6 571个。为了便于分析降雨条件下炭质泥岩路堤的渗流特征,在路堤铅直方向和坡面以下0.5 m处分别设置1条特征截面和3个特征点。
渗流边界条件:模型底部、两侧铅直位置、路面设置为不透水边界;坡面及坡脚水平面设置为单位流量边界及降雨入渗边界。
渗流初始条件:设置如图3所示的初始地下水位进行稳态流计算,并以此结果作为初始时间路堤渗流场。

图3 数值模型网格、特征截面及特征点
Fig. 3 Grid, feature cross sections and feature point of numerical model
渗流水力学模型:采用各向异性达西渗流模型。
渗流计算水力学参数:在现场取多组压实度分别为93%,94%和96%的炭质泥岩土样与包边黏土土样进行室内变水头试验。测得压实度为93%,94%和96%的炭质泥岩土样及包边黏土土样的饱和渗透系数分别为8.84×10-7,6.38×10-7 ,4.15×10-7 和3.47×10-7 m/s,饱和体积含水率分别为0.15,0.14,0.13和0.15。路堤内部非饱和区的渗透系数采用Van Genuchten模型进行拟合,渗透系数、体积含水率随基质吸力的变化曲线如图4所示。铅直方向与水平方向各向异性渗透系数比为0.5。
广西河池地区近50 a来的最大6 h、最大1 d、最大10 d降雨量分别为236.0,608.9和2 918.0 mm。根据该地区的降雨统计资料,本文设计了如表1所示的3种降雨工况。

图4 渗透系数、体积含水率与基质吸力的关系
Fig. 4 Relationship among permeability coefficient, volumetric water content and matric suction
表1 渗流计算降雨工况
Table 1 Rainfall conditions of seepage calculation

2.1.2 路堤孔隙水压力变化规律
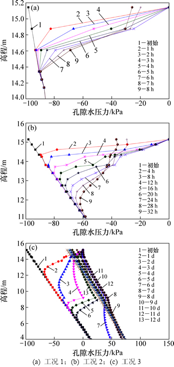
图5(a),(b)和(c)所示分别为工况1,2和3的路堤边坡特征点孔隙水压力随时间变化的关系。由图5可知:在工况1条件下,各特征点孔隙水压力在降雨过程中逐渐增大,降雨停止后持续降低,直至恢复到初始状态为止;在降雨停止时间,各特征点孔隙水压力由于降雨入渗的影响均上升至-50 kPa左右,但孔隙水压力都小于0 kPa,表明工况1条件下降雨入渗深度有限,并未对地表以下0.5 m处的各特征点孔隙水压力产生较大影响;在工况2和3条件下,各特征点具有较相似的变化规律。同一时间各特征点的孔隙水压力由大至小对应的工况分别为工况3、工况2和工况1,特征点孔隙水压力与特征点高程成反比。产生这一现象的原因是在降雨过程中,雨水在边坡表面入渗后,在坡体内部由于重力作用逐渐向边坡坡脚汇集,雨水的汇集导致特征点①~③的孔隙水压力呈现出随高程降低而增大的现象。

图5 特征点孔隙水压力随降雨时间的变化
Fig. 5 Relationship between pore water pressure of feature point and rainfall time
对比3种工况计算结果可知:工况1降雨时间较短,因此,特征点孔隙水压力受降雨影响幅度较小;工况2和3的各特征点变化规律基本相同;工况3由于降雨持续时间长,虽降雨强度较小,但仍对孔隙水压力产生了较大影响。由此可见:在相同情况下,短时强降雨工况对边坡体内孔隙水压力的影响比长时间且总体降雨量大的降雨工况小。
在工况1中,特征点①~③的孔隙水压力受降雨影响不大,而工况2和3的孔隙水压力变化明显。这是由于工况1相对工况2和3的降雨时间较短,且工况2和3的降雨总量也比工况1的大。由此可见:对于同一路堤边坡,孔隙水压力的影响程度是受降雨强度与降雨时间共同控制的。
图6(a),(b)和(c)所示分别为工况1,2和3的特征截面Ⅰ-Ⅰ孔隙水压力与高程的关系。由图6可知:各工况下特征截面Ⅰ-Ⅰ坡面位置的孔隙水压力均率先达到饱和;降雨停止时,工况1,2和3条件下的降雨入渗影响深度分别为地表以下0.8,3.0和10.0 m;在同一时间,降雨入渗影响区域内特征截面Ⅰ-Ⅰ孔隙水压力随高程向下逐渐降低,达到降雨入渗影响深度后,孔隙水压力逐渐增大,与初始状态下的孔隙水压力分布规律一致;各工况下路堤内部孔隙水压力受降雨入渗影响逐渐增大,在工况3条件下由于坡体饱和及坡面径流的存在致使其孔隙水压力出现正值;降雨强度与降雨时间是影响路堤内部孔隙水压力分布及变化的主要因素,降雨时间越长、降雨总量越大,降雨入渗影响深度亦越大。
2.1.3 路堤暂态饱和区发展规律
暂态饱和区是指由降雨入渗引起的体积含水率大于饱和体积含水率80%的区域,降雨入渗将引起路堤暂态饱和区出现1个非稳定变化过程。图7(a),(b)和(c)所示分别为工况1,2和3路堤暂态饱和区随时间的变化规律。
从图7(a)可知:在工况1条件下,路堤在降雨前1 h内的入渗量较大,因此,入渗深度较后续单位降雨时间内的入渗深度大;降雨持续2~6 h时入渗深度增量较均匀,降雨停止时间的入渗深度为0.5 m左右;降雨停止后,工况1的路堤暂态饱和区消散无明显的规律可循,这是由于暂态饱和区入渗深度较小,在雨水出渗及持续入渗的作用下极易消散,从而并未形成可识别的消散规律。

图6 特征截面Ⅰ-Ⅰ孔隙水压力变化
Fig. 6 Change of pore water pressure of feature cross sections Ⅰ-Ⅰ
从图7(b)可知:在工况2条件下,路堤暂态饱和区的发展规律与工况1的发展规律基本一致,表现为雨水前4 h沿边坡表面向坡体内部的入渗深度较大,而后续相同时间增量的入渗深度较小;与工况1相比,工况2虽然降雨强度较小,但由于时间较长,降雨总量大,从而导致降雨入渗深度在坡顶位置达到1.5 m,在坡脚位置达到2.2 m。造成坡面不同位置入渗深度不一致的主要原因在于雨水在较高位置入渗后,在重力作用下,将沿着坡面向较低位置汇集,从而造成坡脚位置的入渗深度比坡面较高位置的大。降雨停止后,路堤暂态饱和区的消散规律表现为坡面较高位置处的暂态饱和区率先开始消散,并逐渐向坡脚发展,直至消失。

图7 路堤暂态饱和区随时间的变化规律
Fig. 7 Variations of transient saturated zone with time
从图7(c)可知:在工况3条件下,路堤暂态饱和区在降雨240 h后已经延伸至路肩垂直向下的整个区域,并随着雨水的持续入渗向路基内部缓慢发展;降雨持续入渗30 h后,路堤暂态饱和区已经扩展至初始地下水位线,且在较短时间内导致初始地下水位线迅速上升,在降雨240 h时,地下水位线已经上升到路堤中部;降雨停止后,路堤暂态饱和区的消散具有明显的规律,由270 h时的暂态饱和区分布范围可以看出,在降雨停止后的30 h内,路堤中部的暂态饱和区仍然在往路堤中部发展,而路堤顶部的暂态饱和区则沿着坡面逐渐向下消散,直至在足够长的时间内恢复到初始状态;此外,暂态饱和区的消散过程要慢于形成过程。
综上所述,暂态饱和区的形成过程实际上是由降雨入渗引起路堤边坡表面含水率逐渐增大并不断向路堤入渗,引起路堤内部饱和区不断延伸。对于同一路堤,暂态饱和区的发展速率及形成范围与降雨强度、降雨时间、降雨总量有直接关系。暂态饱和区的消散过程实际上是已入渗雨水持续入渗与沿着坡面逐渐出渗的过程,表现为坡面较高位置先消散,然后由上往下逐渐消散,直至在足够长的时间内恢复到初始状态。
2.2 降雨条件下炭质泥岩路堤稳定性分析
2.2.1 三维等效模型与力学参数
采用1.3节中的计算流程对同时考虑渗流及损伤的炭质泥岩路堤稳定性进行分析。首先,基于二维渗流有限元模型,建立平面等网格的FLAC3D三维等效模型,三维等效模型在平面上采用与二维渗流有限元模型相同的网格。然后,编制FLAC3D命令流将从二维模型中导出的渗流节点信息一并导入FLAC3D数值分析模型中。三维等效模型的网格及材料分区如图8所示。导入孔隙水压力后的孔隙水分布见图9(只列出工况3降雨90 h的三维孔隙水压力分布)。计算网格单元数为19 829个,节点数为26 531个。本文只对工况3条件下炭质泥岩路堤在降雨过程中(降雨0,48,96,144,192和240 h)及降雨停止后一段时间内(雨后24,72和120 h)的稳定性进行计算。
边界条件:铅直边界上施加水平位移约束;水平边界上施加铅直位移约束。
本构模型:采用Mohr-Coulomb屈服准则的弹塑性本构模型。
力学参数:炭质泥岩单轴抗压强度σci=15.8 MPa,地质强度指标GSI=10,拟合参数mi=4,泊松比μ=0.26,损伤变量D通过大型三轴CT同步扫描试验得到。不同压实度的炭质泥岩物理力学参数如表2所示,包边黏土、路堤基岩的物理力学参数如表3所示。

图8 三维等效模型网格及材料分区
Fig. 8 Grid and partition materials of three-dimensional equivalent model

图9 导入孔隙水压力后的路堤三维模型图(降雨90 h)
Fig. 9 3D model diagram of embankment after importing pore water pressure(Rainfall for 90 h)
2.2.2 路堤塑性区分布及发展规律
图10所示为工况3条件下不同降雨时间的炭质泥岩路堤塑性区分布。由图10可知:降雨持续96 h时,在路堤坡脚处开始出现连续塑性区,在路堤坡面也出现零星的塑性区分布;降雨192 h和240 h时,坡面零星塑性区开始逐渐往坡顶延伸,且逐渐从坡面向路堤内部发展,路堤内部出现连续较大范围贯穿性塑性区分布,且有贯穿至坡顶的趋势。需注意的是:降雨停止24 h后的塑性区在坡面及路堤内部的分布面积都要明显大于降雨停止时间的塑性区分布面积,但降雨停止120 h时,塑性区范围明显减少,且逐渐趋于消失。通过对比不同降雨时间的路堤塑性区与暂态饱和区分布可知:路堤塑性区与暂态饱和区的分布具有一致性,路堤内部塑性区的发展范围始终位于暂态饱和区内部,路堤表层塑性区的分布深度与分布范围与表层入渗深度有直接关系。
表2 不同压实度的炭质泥岩物理力学参数
Table 2 Physical & mechanical parameter of carbonaceous mudstone of different compaction degree

表3 包边黏土、路堤基岩物理力学参数
Table 3 Physical & mechanical parameters of package edge clay and embankment rock


图10 降雨条件下炭质泥岩路堤塑性区分布(工况3)
Fig. 10 Distribution of plastic zone of carbonaceous mudstone embankment under rainfall in Case 3
根据不同时间路堤塑性区的分布情况可知:路堤塑性区的分布受降雨渗透力的影响明显;在降雨停止后的一段时间内,由于炭质泥岩的渗透系数较小,渗入的雨水不能及时排出,坡脚处土体的渗透力继续增大,从而导致路堤塑性区分布面积进一步扩展;降雨停止一段时间后,随着边坡表层孔隙水排出,路堤暂态饱和区范围减少,作用在路堤上的荷载有所降低,因此,路堤塑性区面积逐渐减小;此后,路堤内部孔隙水的排出越来越缓慢,土体自重逐渐成为控制路堤稳定性的主要因素。
2.2.3 路堤安全系数变化规律
表4所示为采用强度折减法计算得到的工况3条件下不同降雨时间的炭质泥岩路堤安全系数。从表4可知:炭质泥岩路堤在天然状态下的安全系数较高,达1.55,表明边坡安全性较好;降雨开始后,路堤在降雨过程中由于受到雨水的作用,下滑力增大,安全系数逐步降低,降雨停止时路堤安全系数为1.21,表明降雨引起路堤稳定性大幅度降低;路堤在经过240 h久雨入渗作用后,尽管路堤稳定性出现了较大幅度降低,但其安全系数仍然达到1.21,说明该路堤在极端雨水条件下仍然具有足够的安全储备;降雨停止24 h后,路堤的安全系数进一步降低至1.17,表明降雨对路堤稳定性的最坏影响有一定的滞后性;降雨停止 72 h后,路堤安全系数出现增加,其安全系数升高到1.25;随着时间的继续增加,路堤的安全系数继续增大,降雨停止120 h后,路堤安全系数增大到1.33。降雨停止一段时间后,路堤安全系数增加的主要原因是路堤内部暂态饱和区消散,坡体重度减小,下滑力减小,抗剪强度增大。
表4 降雨条件下炭质泥岩路堤安全系数(工况3)
Table 4 Safety factor of carbonaceous mudstone embankment under rainfall in Case 3

3 讨论
根据前人对降雨条件下路堤失稳的研究成果可知:降雨入渗在引起土体孔隙水压力升高、重度增加的同时,还将导致其抗剪强度降低,最终造成路堤失稳。目前,已有的路堤稳定性分析方法大多只考虑降雨入渗后路堤内部土体非饱和抗剪强度的变化,忽视了土体重度变化对路堤稳定性的影响,因此,无法得到表层塑性区。此外,对于炭质泥岩路堤,不同崩解程度、不同压实度的炭质泥岩损伤程度存在较大差异,抗剪强度的损伤会对路堤稳定性产生较大影响,因此,采用本文提出的考虑损伤及非饱和效应的路堤稳定性分析方法计算炭质泥岩路堤的稳定性显得十分必要。
4 结论
1) 提出一种能同时考虑损伤及非饱和效应的路堤稳定性分析方法,并利用该方法对降雨条件下算例炭质泥岩路堤的渗流特征及稳定性进行分析,具有较强的针对性和实用性。
2) 在降雨过程中,边坡表层孔隙水压力逐渐增大,降雨停止后,持续降低;降雨入渗影响区域内孔隙水压力随高程向下逐渐降低;降雨强度与降雨时间是影响路堤内部孔隙水压力分布及变化的主要因素。
3) 降雨开始后,暂态饱和区自坡面向路堤内部不断延伸;降雨停止后,由上往下逐渐消散。暂态饱和区的发展速率及形成范围与降雨强度、降雨时间、降雨总量有直接关系。
4) 降雨入渗将引起路堤表层及内部塑性区沿坡面及路堤内部不断向坡顶延伸,降雨停止后,路堤表层及内部塑性区均先增加后减小;路堤塑性区与暂态饱和区的分布具有一致性。
5) 在降雨期间,路堤安全系数随降雨入渗量的增加逐渐降低;降雨停止后,路堤安全系数先小幅度降低,后持续增大。
参考文献:
[1] MUNTOHAR A S, LIAO H J. Rainfall infiltration:infinite slope model for landslides triggering by rainstorm[J]. Natural Hazards, 2010, 54(3): 967-984.
[2] 周创兵, 李典庆. 暴雨诱发滑坡致灾机理与减灾方法研究进展[J]. 地球科学进展, 2009, 24(5): 477-487.
ZHOU Chuangbin, LI Dianqing. Advances in rainfall-induced landslides mechanism and risk mitigation[J]. Advances in Earth Science, 2009, 24(5): 477-487.
[3] HO D Y F, FREDLUND D G. A multi-stage triaxial test for unsaturated soil[J]. ASTM Geotechnical Testing Journal, 1982, 5(1/2): 18-25.
[4] 蒋中明, 熊小虎, 曾铃. 基于FLAC3D平台的边坡非饱和降雨入渗分析[J]. 岩土力学, 2014, 35(3): 855-861.
JIANG Zhongming, XIONG Xiaohu, ZENG Ling. Unsaturated seepage analysis of slope under rainfall condition based on FLAC3D[J]. Rock and Soil Mechanics, 2014, 35(3): 855-861.
[5] SEBOONG O H, NING Lu. Slope stability analysis under unsaturated conditions: case studies of rainfall-induced failure of cut slopes[J]. Engineering Geology, 2014, 184: 96-103.
[6] 曾铃, 付宏渊, 何忠明, 等. 饱和-非饱和渗流条件下降雨对粗粒土路堤边坡稳定性的影响[J]. 中南大学学报(自然科学版), 2014, 45(10): 3614-3620.
ZENG Ling, FU Hongyuan, HE Zhongming, et al. Impact of rainfall on stability of granular soil embankment slope considering saturated-unsaturated seepage[J]. Journal of Central South University(Science and Technology), 2014, 45(10): 3614-3620.
[7] 荣冠, 王思敬, 王恩志, 等. 强降雨下元磨公路典型工程边坡稳定性研究[J]. 岩石力学与工程学报, 2008, 23(4): 704-711.
RONG Guan, WANG Sijing, WANG Enzhi, et al. Stability analysis of Yuanmo highway slope under intensive rainfall[J]. Chinese Journal of Rock Mechanics and Engineering, 2008, 23(4): 704-711.
[8] 吴李泉, 张锋, 凌贤长, 等. 强降雨条件下浙江武义平头村山体高边坡稳定性分析[J]. 岩石力学与工程学报, 2009, 28(6): 1193-1199.
WU Liquan, ZHANG Feng, LING Xianzhang, et al. Stability analysis of high slope subjected to heavy rainfall in Pingtou village of Wuyi County, Zhejiang Province[J]. Chinese Journal of Rock Mechanics and Engineering, 2009, 28(6): 1193-1199.
[9] 傅鹤林, 刘运思, 李凯, 等. 裂隙损伤岩体在渗流作用下的边坡稳定性分析[J]. 中国公路学报, 2013, 26(4): 29-35.
FU Helin, LIU Yunsi, LI Kai, et al. Analysis of rock slope seepage stability under crack damage[J]. China Journal of Highway and Transport, 2013, 26(4): 29-35.
[10] 常来山, 李绍臣, 颜廷宇. 基于岩体损伤模拟的露井联采边坡稳定性[J]. 煤炭学报, 2014, 39(S2): 359-365.
CHANG Laishan, LI Shaochen, YAN Tingyu. Slope stability in surface and underground combined mining based on rock mass damage simulation[J]. Journal of China Coal Society, 2014, 39(S2): 359-365.
[11] 罗根传, 付宏渊, 贺炜. 预崩解处理后炭质泥岩路用性能试验研究[J]. 中外公路, 2012, 32(1): 34-37.
LUO Genchuan, FU Hongyuan, HE Wei. Study on pavement performance of carbon mudstone after pre processing disintegration[J]. Journal of China & Foreign Highway, 2012, 32(1): 34-37.
[12] HOEK E, BROWN E T. Practical estimates of rock mass strength[J]. International Journal of Rock Mechanics and Mining Sciences, 1997, 34(8): 11651-1186.
[13] EBERHARDT E. The Hoek-Brown failure criterion[J]. Rock Mechanics and Rock Engineering, 2012, 45(6): 981-988.
[14] 谢定义, 姚仰平, 党发宁. 高等土力学[M].北京: 高等教育出版社, 2008: 87-88.
XIE Dingyi, YAO Yangping, DANG Faning. Advanced soil mechanics[M]. Beijing: Higher Education Press, 2008: 87-88.
[15] FENG M, FREDLUND D G. Calibration of thermal conductivity sensors with consideration of hysteresis[J]. Canadian Georechnical Journal, 2003, 40(5): 1048-1055.
(编辑 陈灿华)
收稿日期:2016-03-17;修回日期:2016-05-22
基金项目(Foundation item):国家自然科学基金资助项目(51508040,51508042,51578082,51578079);长沙理工大学土木工程重点学科创新性项目(15ZDXK08);长沙理工大学道路结构与材料交通行业重点实验室开放基金资助项目(kfj140302)(Projects(51508040,51508042, 51578082,51578079) supported by the National Natural Science Foundation of China; Project(kfj140302) supported by Innovative Projects of Key Discipline of Civil Engineering of Changsha University of Science & Technology; Project(kfj140302) supported by Key Laboratory of Road Structure and Material of Ministry of Transport, Changsha University of Science & Technology)
通信作者:曾铃,博士,讲师,从事岩土工程、道路工程的研究工作;E-mail:zlbingqing3@126.com