DOI: 10.11817/j.issn.1672-7207.2015.03.037
基于近似积分的悬链线拱实用解析解
胡常福1,陆小雨2,甘慧慧3,任伟新4
(1. 华东交通大学 土木建筑学院。江西 南昌,330013;
2. 北京交通大学 土木建筑学院,北京,100044;
3. 江西外语外贸职业学院,江西 南昌,330099;
4. 合肥工业大学 土木与水利工程学院,安徽 合肥,230009)
摘要:针对悬链线拱各种弹性积分表达式没有解析解的现状,提出一种近似积分方法以求得悬链线拱实用解析解。在两铰拱与无铰拱结构图式下,基于此近似方法,对悬链线拱积分常数实用解析解、主拱圈自重及桥面均布荷载的实用内力解析解进行求解,并以积分常数的数值积分解和内力的有限元解作为精确解,验证本文方法结果的精确性与表达式的实用性。研究结果表明:与数值积分法相比,本文方法的积分常数最大相对误差不超过4%;与有限元法结果相比,本文方法轴力最大相对误差不超过5%,弯矩最大相对误差不超过12%;本文实用解析解表达式简洁,能得到任意拱轴系数下的结果。
关键词:悬链线拱;近似积分法;实用解析解;弹性积分常数
中图分类号:U441 文献标志码:A 文章编号:1672-7207(2015)03-1058-08
Practical analytical solution of catenary arch based on approximate integration method
HU Changfu1, LU Xiaoyu2, GAN Huihui3, REN Weixin4
(1. School of Civil Engineering and Architecture, East China Jiaotong University, Nanchang 330013, China;
2. School of Civil Engineering and Architecture, Beijing Jiaotong University, Beijing 100044, China;
3. Jiangxi College of Foreign Studies, Nanchang 330099, China;
4. School of Civil Engineering and Water Conservancy, Hefei University of Technology, Hefei 230009, China)
Abstract: An approximate integral method was proposed for this problem that no analytical solution exsits in catenary arch elastic integration constant. Based on this method, the practical analytical solution of catenary arch in two hinge arches and hingless arch elastic integration constant, practical analytical solution of inner forces of main arch ring weight and deck system uniformly distributed weight were deduced. By taking numerical integral method results of integration constants and finite element method internal forces results as exact solution, actenary arch practical analytical solution expression of proposed method was verified. The results show that the maximum relative error of elastic integration constant obtained by the proposed method in the paper is less than 4% compared with those obtained by the numerical integration method. Compared with the finite element method, the maximum relative error of axial force results error does not exceed 5%, the maximum relative error of proposed method bending moment results does not exceed 12% of those obtained by the proposed method, and the expression of proposed method is simply enough, which is suitable for any arch axis coefficient condition.
Key words: catenary arch; approximate integration method; practical analytical solution; elastic integration constant
悬链线是一个曲线族,对各种拱桥恒载有广泛的适应性,因而,作为合理拱轴线在拱桥中广泛使用[1]。工程师们为了能够把握结构的主要因素并对桥梁进行概念分析,常常使用悬链线拱结构的各种弹性常数与内力表达式[2-3]。然而,悬链线拱是一个曲线超静定结构,弹性常数和内力表达式的求解需要沿拱轴积分,这个曲线积分没有显示表达式,目前仅能依靠数值积分法求解弹性常数并通过制表的方式供工程界使用[4]。工程中使用的拱轴系数是多样的[1],与表格中拱轴系数有限之间的矛盾,造成多数情况不能无法使用表格进行概念分析。为解决此类曲线积分解析解的问题,Wang等[5]在英国圬工拱桥承载力简化算法的MEXE方法中,使用沿拱脚跨径水平的直线积分替代沿拱轴的曲线积分,该方法虽然简便但误差较大;Bradford等[6]在解决抛物线拱在水平弹性支撑情况下的稳定问题时,将沿拱轴的能量曲线积分简化为沿坐标轴的直线积分,使得其结果只能满足矢跨比小于1/10的情况;Cai等[7]使用了沿坐标轴的直线积分替代沿拱轴线的能量曲线积分,求解了抛物线浅拱在荷载与温度共同作用下的稳定问题;熊玉学等[8]使用多项式拟合的方法,对抛物线及椭圆弧长数值积分结果进行拟合,进而得到实用公式;郭临义[9]在解决正拱斜置受力分析中的曲线积分时,使用变截面假定使得沿曲线积分变为沿直线积分,这在主拱圈变截面情况下是精确的,但大多数拱圈是等截面;李宗禄[10]在解决等截面悬链线拱验算问题时,将数值积分变成计算机程序,从而解决计算困难的问题;胡常福等[11]使用近似积分路径替代精确积分路径,从而得到抛物线拱的实用解析解,并对MEXE方法进行了革新[12]得到简化的实用解。由此可以看出,悬链线拱的曲线积分研究历史虽然较长,但得到高精度的实用解析解仍是较难解决的问题。为解决悬链线拱弹性常数及内力表达式的曲线积分无解析解问题,本文作者使用近似曲线积分方法,推导两铰与无铰悬链线拱的弹性常数及内力实用解析解,并通过与数值积分法及有限元法结果的比较,验证本文方法的精确性与实用性。
1 近似曲线积分基本原理
悬链线拱的弹性常数及内力表达式中,存在大量如下式所示的曲线积分:
式中:s为拱轴线弧长;
为被积函数;x为坐标原点位于拱顶时的跨径方向水平坐标;L为跨径;
为拱轴横截面与x轴的夹角。将悬链线拱轴线方程代入式(1),可得到

式中:f为矢高;m为悬链线拱轴系数;k为悬链线方程变量,
;
为双曲正弦函数。
该积分得不到解析解,即使在被积函数形式最简单的情况下(f(x)=1),变为悬链线弧长的式(2)也不能得到解析解。目前常用数值积分求得精确结果并制表[4],或使用ds=dx简化为直线积分求得简化公式[5]。悬链线积分路径、直线积分路径和悬索线积分路径的比较见图1。由图1可以看出:将沿拱轴的悬链线积分路径转换为沿水平的直线积分路径,两者相差很大造成积分结果误差较大。

图1 3种积分路径比较
Fig. 1 Comparison of three integral paths
为解决沿悬链线拱轴曲线积分得不到解析解的问题,本文在悬链线附近引入1个相邻的近似积分路径,如图1所示。该曲线为悬索线拱轴线[13],在此积分路径上
,表达式可以积分出较简便的解析解,进而如式(2)所示的曲线积分可以得到大大简化。
式中:
为双曲余弦函数;a为悬索线拱形参数。为考察将悬链线
的近似程度,以跨径L=20 m,f/L=1/5的悬链线为例,分别比较当m为1.347与2.240时悬链线的
与
,如图2所示。
由图2可以看出:当m=1.347时,悬链线的
与
基本重合,计算表明最大相对误差为0.24%;m=2.240时的悬链线与
在拱顶区重合,在拱脚区稍有不同,计算表明最大相对误差为4.66%。综合2个线型结果,说明使用悬链线
满足实用解析解的精度要求。根据式(3)所示的近似积分原理,即可对悬链线拱弹性常数及内力实用表达式进行推演。

图2 悬链线拱轴
比较
Fig. 2 Comparison of catenary arch axis 
2 悬链线拱弹性常数及内力实用解析解
2.1 弹性常数实用解析解
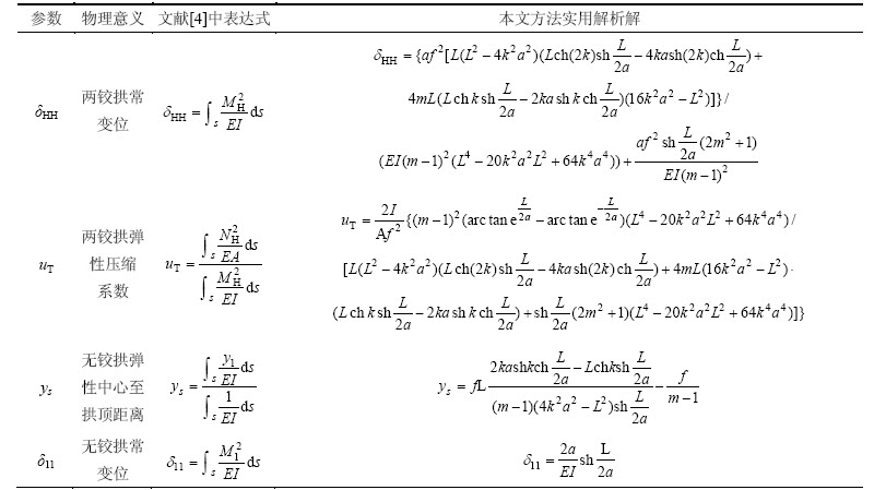
使用上述近似积分原理,可得到悬链线两铰拱与无铰拱的各种弹性常数,如表1所示。
由表1可以看出:文献[4]中表达式只是积分公式,不能得到积分结果。使用本文近似积分方法,均能得到悬链线两铰拱与无铰拱的各种常变位及弹性压缩系数显示表达式,与文献[4]中的积分方法相比有了较大改进。
2.2 内力实用解析解
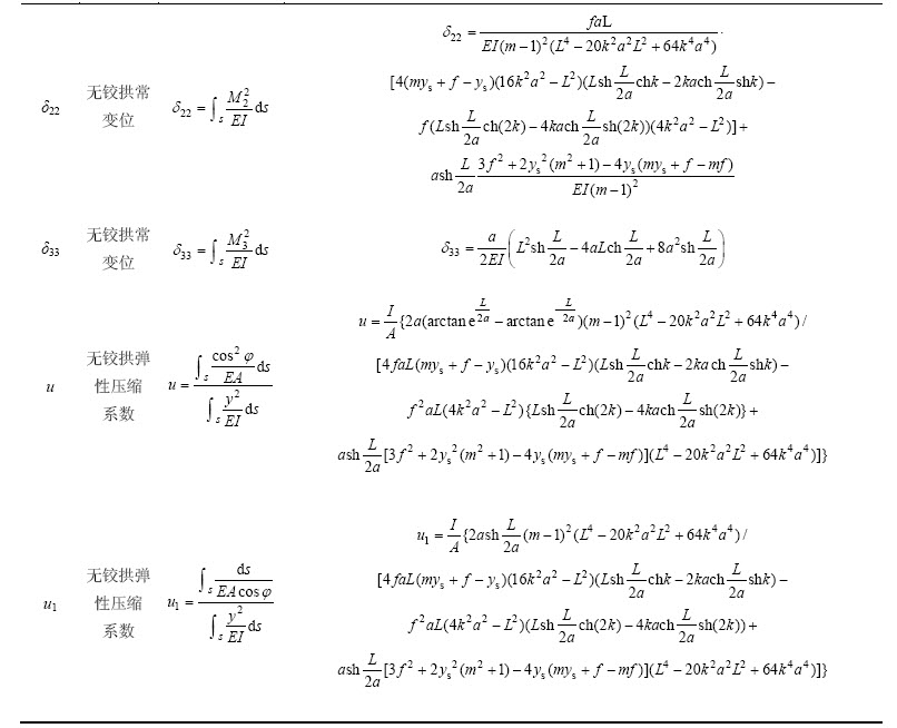
超静定拱力法方程中包括大量载变位积分,也可以使用近似积分原理完成实用公式的推导,进而得到悬链线拱内力的实用表达式,如表2所示。
表1 弹性常数表达式比较
Table 1 Comparison of elastic constant expression

续表1

表2 载变位表达式比较
Table 2 Comparison of displacement contained expression

续表2

从表2可以看出:文献[4]只写出积分公式,不能得到积分结果。使用本文近似积分方法,均能得到悬链线两铰拱与无铰拱各种荷载工况下的载变位显示表达式,较文献[4]中公式相比大大改善,将其代入力法方程即可得到缀余力与内力实用解析解。
3 精度分析
3.1 弹性常数精度分析
为检验本文方法弹性常数的精度,选取拱轴系数为非文献[4]中表格数值的m=2.980。使用本文方法的弹性常数实用解析解与数值积分法分别计算两铰拱与无铰拱的弹性常数,并以数值积分法结果为精确值计算本文方法的相对误差,如表3所示。
从表3可以看出:与数值积分结果相比,本文方法计算的悬链线弹性常数值最大相对误差为4.00%,表明本文方法具有较高的精度;当矢跨比由1/3变化至1/10时,本文方法计算各实用表达式的相对误差均有一定程度降低,这也与矢高降低而积分路径误差更小的物理概念是吻合的。通过进一步计算,使用文献[5]将ds=dx简化为直线积分求得简化公式的计算结果,最大相对误差高达33.93%,见文献[14]。经综合比较发现,本文方法的实用解析解具有较高的精度,且可使用任意的拱轴系数m。
3.2 内力精度分析
为验证本文方法内力实用解析解的精度,以一上承式悬链线拱桥[15]为例,分别用本文方法、有限元方法计算两铰拱和无铰拱在主拱圈自重工况与桥面系自重下工况主拱圈的内力,并比较两者的相对误差。该桥跨径为255 m,矢跨比为1/6,拱肋面积为0.77 m2,惯性矩为1.522 3 m4,弹性模量为210 GPa,材料容重为78.5 kN/m3,桥面系平均重度为305.2 kN/m,拱轴系数m=3.500。在主拱圈自重工况下和桥面系自重工况下,2种方法计算的悬链线两铰拱与无铰拱内力结果如图3所示。
从图3可以看出:本文方法的内力结果与有限元法所得结果基本吻合。其中,两铰拱主拱圈自重工况轴力最大相对误差为0.96%,弯矩极值最大相对误差为2.53%;两铰拱桥面系自重工况轴力最大相对误差为4.81%,弯矩极值最大相对误差为11.67%;无铰拱主拱圈自重工况轴力最大相对误差为1.08%,弯矩极值最大相对误差为4.84%;无铰拱桥面系自重工况轴力最大相对误差为2.11%,弯矩极值最大相对误差为11.55%。本文方法所得轴力结果最大相对误差不超过5%,弯矩极值最大相对误差不超过12.00%,表明本文实用解析解具有较高的精度。从图3还可以看出:在两铰拱与无铰拱中主拱圈自重工况比桥面系自重工况的内力相对误差小,表明本文方法对主拱圈自重工况有着更广泛的适应性。
表3 悬链线拱弹性常数结果对比表
Table 3 Comparison of two method results on catenary arch elastic constant


图3 2种方法主拱圈内力比较
Fig. 3 Comparison of two method results on main arch internal forces
4 结论
1) 近似积分方法可用于悬链线拱的各种弹性常数与内力实用解析解的推演。
2) 本文方法推演的悬链线拱弹性常数最大相对误差不超过4.00%,可以作为任意拱轴系数下悬链线弹性常数计算使用。
3) 本文方法推演的悬链线内力实用表达式结果与有限元方法结果均较吻合,轴力结果最大相对误差不超过5.00%,弯矩极值最大相对误差不超过12.00%。
参考文献:
[1] Chen B C, Wang T L. Overview of concrete filled steel tube arch bridges in China[J]. Practice Periodical on Structural Design and Construction, ASCE, 2009, 14(2): 70-80.
[2] JTG D62—2004, 公路钢筋混凝土及预应力混凝土桥涵设计规范[S].
JTG D62—2004, Code for design of highway reinforced concrete and prestressed concrete bridges and culverts[S].
[3] 买买提明·艾尼, 热合买提江·依明. 现代数值模拟方法与工程实际应用[J]. 工程力学, 2014, 31(4): 11-18.
Mamtimin G, Rahmatjan I. Modern numerical simulation methods and its practical applications in engineering[J]. Engineering Mechanics, 2014, 31(4): 11-18.
[4] 顾懋清, 石绍甫. 公路桥涵设计手册(拱桥下)[M]. 北京: 人民交通出版社, 1994: 522-1175.
GU Maoqing, SHI Shaofu. Manual of highway bridge and culvert (arch bridge)[M]. Beijing: China Transportation Press, 1994: 522-1175.
[5] Wang J, Melbourne C. Mechanics of MEXE method for masonry arch bridge assessment[J]. Journal of the ICE-Engineering and Computational Mechanics, 2010, 163(3): 187-202.
[6] Bradford M A, Wang T, Pi Y L, et al. In-plane stability of parabolic arches with horizontal spring supports Ⅰ: Theory [J]. Journal of Structural Engineering, ASCE, 2007, 13(8): 1130-1137.
[7] Cai J G, Xu Y X, Feng J, et al. In-plane elastic buckling of shallow parabolic arches under an external load and temperature changes[J]. Journal of Structural Engineering, ASCE, 2012, 38(11): 1300-1309.
[8] 熊玉学, 刘庆照. 计算抛物线及椭圆弧长的近似公式[J]. 东北林业大学学报, 1991, 19(2): 112-115.
XIONG Yuxue, LIU Qingzhao. Approximate formula for calculating parabola and the length of ellipse arc[J]. Journal of Northeast Forestry University, 1991, 19(2): 112-115.
[9] 郭临义. 正拱斜置变截面悬链线坡拱桥的受力分析[J]. 西安公路交通大学学报, 1999, 19(2): 36-40.
GUO Linyi. Inner force analysis of right catenary arch with variable cross section on slop[J]. Journal of Xi’an Highway University, 1999, 19(2): 36-40.
[10] 李宗禄. 等截面悬链线箱形拱桥计算程序[J]. 广西大学学报(自然科学版), 1997, 22(2): 167-169.
LI Zonglu. The program calculation of the box arch bridge of equal section catenary[J]. Journal of Guangxi University (Natural Science Edition), 1997, 22(2): 167-169.
[11] 胡常福, 雷亮亮, 陈海龙, 等. 等截面抛物线拱桥内力实用解析解研究[J]. 铁道科学与工程学报, 2011, 8(5): 97-103.
HU Changfu, LEI Liangliang, CHEN Hailong, et al. Research on practical analytic solution of parabolic arch bridges with uniform section[J]. Journal of Railway Science and Engineering, 2011, 8(5): 97-103.
[12] 胡常福, 任伟新, 尚继宗. 基于近似曲线积分的MEXE修正方法改进研究[J]. 湘潭大学学报自然科学版, 2013, 35(1): 63-66.
HU Changfu, REN Weixin, SHANG Jizong. Development of modified MEXE method based on approximate curve integral method[J]. Natural Science Journal of Xiangtan University, 2013, 35(1): 63-66.
[13] HU Changfu, WAN Yi, SHANGGUAN Xing. A new practice in the design of arch axis[C]// Proceedings of 6th International Conference on Arch Bridge. Fuzhou, China, 2010: 709-715.
[14] 陆小雨. 悬链线拱实用内力解析解研究[D]. 南昌: 华东交通大学土木建筑学院, 2014: 20-37.
LU Xiaoyu. Research on practical analytical solution of catenary arch[D]. Nanchang: East China Jiaotong University. School of Civil Engineer and Architecture, 2014: 20-37.
[15] PAN Yang, HU Changfu, WU Tongao, et al. A new deck-type CFST arch bridge with diagonal web cables[C]// 3rd Chinese- Croatian Joint Colloquium on Long Span Arch Bridge. Zagreb, Croatia, 2011: 133-140.
(编辑 陈灿华)
收稿日期:2014-07-20;修回日期:2014-09-22
基金项目(Foundation item):国家自然科学基金资助项目(51278163,51468019);江西省科技支撑计划项目(20141BBG70089);中国铁建科技项目(2011) (Projects(51278163, 51468019) supported by the National Natural Science Foundation of China; Project(20141BBG70089) supported by Science and Technology Support Program in Jiangxi Province; Project(2011) supported by China Railway Construction Project of Science and Technology)
通信作者:胡常福,博士,讲师,从事拱桥力学研究;E-mail: changfu.hu@foxmail.com