网络首发时间: 2019-05-22 16:20
稀有金属 2020,44(09),974-980 DOI:10.13373/j.cnki.cjrm.xy19030020
xCeO2 -yWO3 -TiO2 脱硝催化剂抗SO2 性能研究
边雪 肖坤宇 王书豪 邱保龙
东北大学冶金学院
摘 要:
目前中国面临着大气污染物氮氧化物排放限制要求,以及进一步提高商业催化剂(V2O5-WO3/TiO2)危废处理困难等问题,本文以工业偏钛酸为钛源,采用共沉淀法制备了x CeO2-y WO3/TiO2催化剂并研究了其抗硫性能。通入SO2后催化剂的脱硝温区向高温移动,其中25Ce6W和30Ce6W的催化剂仍能保持最高脱硝率在98%以上,且脱硝率90%和95%的温度区间最宽分别达到了315和285℃。30Ce6W催化剂经8 h抗硫实验,脱硝效率仅由95%降到92%,抗硫性能稳定。X射线衍射(XRD)、X射线光电子能谱(XPS)、比表面积测试(BET)、氨气程序升温脱附(NH3-TPD)、氢气程序升温还原(H2-TPR)等测试结果表明:25Ce6W和30Ce6W催化剂抗硫脱硝后催化剂表面吸附氧Oα的比例上升,利于NO的吸附及NO氧化为NO2从而对催化效果有一定的促进作用。而催化剂表面堆积硫酸铵与硫酸氢铵造成了催化剂孔隙堵塞及坍塌使比表面积和孔容减小,且催化剂表面Ce3+浓度降低,同时H2-TPR 580℃附近的还原峰向高温方向移动,从而降低了脱硝效果,但随温度升高硫酸铵与硫酸氢铵分解后,催化剂的活性提升。
关键词:
氨气选择性催化还原(NH-SCR) ;CeO-WO/TiO ;偏钛酸 ;抗硫性能 ;
中图分类号: X701;O643.36
作者简介: 边雪(1980-),男,辽宁沈阳人,博士,副教授,研究方向:稀土冶金与材料制备研究,电话:13840050394,E-mail:bi-anx@smm.neu.edu.cn;
收稿日期: 2019-03-12
基金: 国家自然科学基金项目(51274060); 国家级大学生创新创业训练计划资助项目(201810145085); 中央高校基本科研业务专项资金项目(N182410001)资助;
Preparation and Properties of xCeO2 -yWO3 -TiO2 Denitrification Catalyst
Bian Xue Xiao Kunyu Wang Shuhao Qiu Baolong
School of Metallurgy,Northeastern University
Abstract:
China is facing the emission limitation of nitrogen oxide and the difficulty in handling dangerous waste of commercial catalyst(V2 O5-WO3/TiO2). In this paper,a novel method of preparing CeO2-WO3/TiO2 catalysts by impregnation-thermal decomposition was put forward. The effects of active component content of Ce and W on denitrification efficiency was studied. After inserting SO2,the denitration temperature zone of catalyst moved to the higher side. The catalysts of 25 Ce6 W and 30 Ce6 W could still maintain the highest denitration rate above 98%. Catalyst of 30 Ce4 W reached the widest temperature range 315 ℃ and 285 ℃ with a denitration efficiency 90% and 95%,respectively. After anti-sulfur experiment for eight hours,the denitration effiency of 30 Ce6 W catalyst merely declined from 95% to 92%,which showed its stable sulfur resistance. The structure and mechanism of catalysts were characterized by Xray diffraction(XRD),X-ray photoelectron spectroscopy(XPS),specific surface area test(BET),ammonia programmed temperature desorption(NH3-TPD)and hydrogen programmed temperature reduction(H2-TPR),and the results showed that higher ratio of Ce4+and chemisorbed oxygen content on the surface of 25 Ce6 W and 30 Ce6 W after anti-sulfur and denitrification experiment and higher specific surface area were conducive to improving the denitrification performance. And the oxides on the surface were easier to be reduced and had a greater adsorption capacity for NO. Ammonium sulfate and ammonium hydrogen sulfate which accumulated on the surface caused the pore blockage and collapse of the catalyst.They reduced the specific surface area and pore volume. In addition,the concentration of Ce3+on the catalyst surface decreased,and the reduction peak near H2-TPR 580 °C moved toward the higher-temperature side. Therefore,the denitration rate declined. However,the activity of catalyst would improve once they decomposed with the improvement of temperature.
Keyword:
NH3 -SCR; CeO2 -WO3 /TiO2 ; flue gas denitrification;
Received: 2019-03-12
火力发电厂、玻璃厂、水泥厂及使用燃煤锅炉的企业是大气污染物NOx 的重要排放源,“十三五”要求NOx 排放低于50 mg·m-3 。目前氨气选择性催化还原(NH3 -SCR)脱硝方法脱除NOx 采用商业化V-W-Ti催化剂,然而温区窄(300~400℃)、抗SO2 性能差,使得催化剂运行成本高、使用寿命短
[1 ]
。另外该类催化剂以具有毒性的五氧化二钒为活性组分,废催化剂属于危险废物。为此研发抗硫性能较好的无钒脱硝催化剂非常关键。
由于Ce O2 具有良好的储放氧能力和氧化还原(redox)性能,研究人员以Ce O2 作为助剂和活性组分制备NH3 -SCR催化剂
[2 ,3 ,4 ]
。在商业催化剂V2 O5 -WO3 /Ti O2 中添加Ce元素后,催化剂的比表面积和表面氧物种流动性增大,使催化剂的活性和抗SO2 性能均得到了显著提高
[5 ,6 ]
。Zhang等
[7 ]
研究了Ce基NH3 -SCR脱硝催化剂抗硫过程中的反应机制,结果表明当温度达到或低于硫酸铵露点,Ce O2 的redox性能降低,从而脱硝性能下降。Li等
[8 ]
研究发现催化剂中Ce2 O3 作为一种S的牺牲剂可以提高抗硫性能。鉴于Ce的抗硫性能近年来负载Ce催化剂的抗硫性能进行了大量研究,Gao等
[9 ]
研究发现Ce/Ti O2 催化剂脱硝过程中通入1000×10-6 的SO2 ,运行10 h后脱硝效率明显降低。Zong等
[10 ]
以锐钛矿为载体制备了Ce O2 -WO3 -Ti O2 催化剂,当通入300×10-6 SO2 时280℃脱硝效率由98%降低到84.62%。Jiang等
[11 ]
以锐钛矿为载体,采用溶胶凝胶法制备了Ce-Mo-W/Ti O2 催化剂,在1000×10-6 SO2 存在下催化剂450℃测试8 h后脱硝效率由98.6%降低至约90%。Cao等
[12 ]
采用固相合成法以Ti O2 -Si O2 为载体制备了Ce-W/Ti O2 -Si O2 催化剂,在550℃下空速5000 h-1 时通入22×10-6 SO2 ,24 h测试时间内脱硝效率仍保持在约96%,但与其他研究相比脱硝温度较高且SO2 通入量较低故脱硝效果仍较好。Liu等
[13 ]
制备了Sm负载型Ce O2 -Ti O2 催化剂并测试了其抗SO2 性能,结果表明当通入200×10-6 SO2 时,250℃温度下在24 h的测试时间内脱硝效率保持在80%左右。Cao等
[14 ]
采用共沉淀法制备了Ce-Zr负载的V-W/Ti O2 催化剂,350℃温度下通入100×10-6 SO2 脱硝效率由95%降低至约70%。
总结上述研究,Ce具有提高脱硝催化剂抗SO2 的作用,然而目前的研究多集中于以锐钛矿为载体,制备负载Ce,W,Nb,V等元素的催化剂。锐钛矿Ti O2 载体是由偏钛酸焙烧获得,而直接以偏钛酸为原料制备脱硝催化剂研究较少。本课题组前期直接以偏钛酸为原料,采用共沉淀法制备Ce-W-Ti催化剂在200~500℃温度范围内脱硝效率始终保持在约95%,性能良好。而本文针对此催化剂进一步研究其抗SO2 性能,为该催化剂的应用提供依据。
1 实验
1.1 原料
实验采用工业偏钛酸、硝酸铈和偏钨酸铵为原料(均为工业纯)。氨水为分析纯试剂。
1.2 方法
采用共沉淀法制备Ce O2 -WO3 /Ti O2 催化剂:依次称取一定量的偏钛酸、偏钨酸铵、硝酸铈溶于水,充分搅拌并添加氨水调节p H值至10。加热搅干后样品在120℃下烘干12 h,然后在马弗炉内520℃条件下焙烧5 h,得到的催化剂经过压片、破碎后用450~420μm标准分样筛进行筛分,得到5 ml催化剂颗粒。通过改变Ce,W,Ti配比,得到了一系列x Ce O2 -y WO3 /Ti O2 (简称x Cey W,x=25,30,35,40,45;y=4,6,8)催化剂。以25Ce4W为例,经过原子发射光谱(ICP)测试合成后催化剂中Ce,W,Ti的含量并折算其中Ce O2 的质量分数为25%,WO3 的质量分数为4%,其余为Ti O2 。
催化剂的脱硝性能采用微型反应装置进行测试,气体空速(GHSV)=36000 h-1 ,通入浓度为600×10-6 的NO,600×10-6 的NH3 ,100×10-6 的SO2 ,3%的O2 ,平衡气为N2 。实验测定不同温度下尾气中NO的浓度,通过式(1)计算NO的转化率并以此衡量催化剂活性。催化剂活性组分和载体的晶型结构的氨气程序升温脱附(NH3 -TPD)测试和氢气程序升温还原(H2 -TPR)测试,使用美国麦克公司生产的Auto Chem II2920型仪器,测试温度范围为室温~800°C,X射线衍射(XRD)测试采用荷兰帕纳科公司生产的X’Pert Pro多晶X射线衍射仪,扫描范围5°~90°,Cu Kα靶。孔结构采用美国麦克公司的ASAP 2460型物理吸附仪进行测定。
式中,NO conversion为NO转化率,[NO]in 为微型反应装置进气口NO浓度,[NO]out 为出气口NO浓度。
2 结果与讨论
2.1 Ce,W含量对Ce O2-WO3/Ti O2催化剂脱硝性能的影响
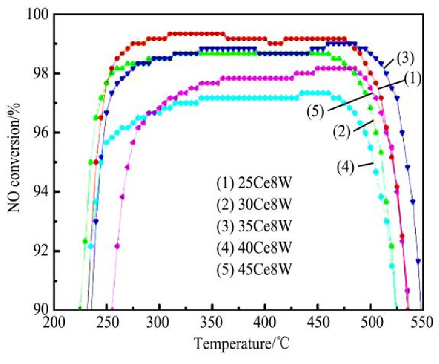
不同Ce,W含量对Ce O2 -WO3 /Ti O2 催化剂脱硝性能及SO2 存在下脱硝性能的影响如图1~6所示。
在较高脱硝效率下的温度窗口决定了催化剂的使用温度和适应性,如目前商用V-W-Ti催化剂温度窗口为300~400℃
[1 ]
。从图1~6可以看出,WO3 含量为4%~8%,Ce O2 的质量分数达到25%以上时,随着Ce O2 含量的增加,催化剂脱硝率90%和95%的温度窗口呈现先拓宽后变窄的趋势。其中30Ce4W的催化剂脱硝率90%和95%的温度窗口最宽分别达到了310℃和285℃。而催化剂在抗硫测试中的温度区间同样呈现出一种先拓宽后变窄的趋势,且脱硝率90%以上的温度窗口向高温区移动。当WO3 含量为8%时,不同Ce O2 含量的催化剂在通入SO2 后脱硝效率降低明显。WO3 含量为4%时,不同Ce O2 含量的催化剂在通入SO2 后脱硝效率虽然仍然较高,但温度窗口变窄,如30Ce4W通入SO2 后脱硝率90%和95%的温度窗口降低至305℃和265℃。而25Ce6W和30Ce6W催化剂在未通SO2 时脱硝率90%和95%的温度窗口分别为295,305℃和275,285℃,通入SO2 后保持最高脱硝率在98%以上,且脱硝率90%和95%的温度窗口仍能分别达到315℃和285℃,其抗SO2 效果较优。
图1 x Ce4W催化剂的脱硝性能
Fig.1 Denitration performance of x Ce4W catalyst
图2 SO2存在下x Ce4W催化剂的脱硝性能
Fig.2 Denitration performance of x Ce4W catalyst with SO2
图3 x Ce6W催化剂的脱硝性能
Fig.3 Denitration performance of x Ce6W catalyst
图4 SO2存在下x Ce6W催化剂的脱硝性能
Fig.4 Denitration performance of x Ce6W catalyst with SO2
图5 x Ce8W催化剂的脱硝性能
Fig.5 Denitration performance of x Ce8W catalyst
图6 SO2存在下x Ce8W催化剂的脱硝性能
Fig.6 Denitration performance of x Ce8W catalyst with SO2
2.2 催化剂抗SO2稳定性研究
为进一步考察25Ce6W和30Ce6W催化剂抗硫稳定性,对两种催化剂样品进行长时间抗硫测试,结果如图7所示。实验中脱硝温度始终保持在330℃,通入SO2 含量为100×10-6 。由图7中可见,进行抗硫稳定性测试14 h后,30Ce6W脱硝率由98%降到92%,而25Ce6W催化剂的脱硝效率降低至90%以下。可见30Ce6W催化剂抗硫过程中,既保持了较宽的温度窗口,又具有较好的稳定性。
图7 通入SO2时25Ce6W和30Ce6W催化剂的脱硝率随时间的变化情况
Fig.7 Denitration performance of 25Ce6W and 30Ce6W cata‐lyst over time with SO2
2.3 催化剂抗硫前后的XPS分析
采用X射线光电子能谱(XPS)对脱硝及抗硫前后25Ce6W,30Ce6W催化剂进行Ce 3d和O 1s XPS分析,结果如图8~11所示。结果可见,未通入SO2 时,与25Ce6W相比,30Ce6W催化剂Ce4+ 和化学吸附氧含量高,这也是其温度窗口宽、脱硝效率高的原因。在进行抗硫测试后,30Ce6W催化剂仍具有较高的Ce4+ 和化学吸附氧含量,因此其脱硝性能高于25Ce6W。另外在抗硫测试后表面吸附氧Oα 的比例上升,说明SO2 会增加催化剂表面的Oα 浓度,利于NO的吸附,也有利于将NO氧化为NO2 ,而NO2 的比例越高,SCR反应速度越快,从而对催化效果有一定的促进作用
[15 ]
。
2.4 催化剂抗硫前后的BET分析
催化剂抗硫前后的比表面积、孔容和平均孔径测试结果如表2所示。结果显示:在抗硫测试后催化剂的比表面积减小,这主要是由于在进行抗硫测试时,一定温度区间内会不断地在催化剂的表面生成硫酸铵与硫酸氢铵,并在表面不断堆积,造成催化剂孔隙堵塞、撑大甚至坍塌,因此催化剂的比表面积显著减少,而平均孔径增大。此外,虽然在较高的温度沉积物质会发生分解,然后仍有一部分的物质留在催化剂的孔隙内,因此孔容也会减小。与25Ce6W相比,30Ce6W催化剂抗硫测试后仍具有较高的比表面积和孔容,因此其脱硝效果优于25Ce6W催化剂。
图8 25Ce6W,30Ce6W催化剂的Ce 3d XPS图
Fig.8 Ce 3d XPS spectra of 25Ce6W and 30Ce6Wcatalyst
图9 25Ce6W,30Ce6W催化剂抗硫后的Ce 3d XPS图
Fig.9 Ce 3d XPS spectra of 25Ce6Wand 30Ce6W catalyst with SO2
图1 0 25Ce6W,30Ce6W催化剂的O 1s XPS图
Fig.10 O 1s XPS spectra of 25Ce6W and 30Ce6W catalyst
图1 1 25Ce6W,30Ce6W催化剂抗硫后的O 1s XPS图
Fig.11 O 1s XPS spectra of 25Ce6W and 30Ce6W catalyst with SO2
表1 不同价态Ce元素和不同类型O占比 下载原图
Table 1 Different valence state Ce elements and different types of O ratio(%)
表2 催化剂比表面积和孔结构数据 下载原图
Table 2 Catalyst specific surface area and pore structure data
2.5 催化剂抗硫前后的H2-TPR和NH3-TPD分析
30Ce6W催化剂抗硫前后H2 -TPR和NH3 -TPD分析结果如图12,13所示。
图12中H2 -TPR测试结果显示:从30Ce6W催化剂抗硫后580℃附近的还原峰向高温方向移动,且峰强显著增强,而800℃的还原峰没有明显变化。这是由于通入SO2 一段时间之后,在催化剂表面生成了较为复杂的化合物,可能是硫酸铵、硫酸氢铵和硫酸铈的混合物,一定程度阻碍了脱硝反应进行,从而降低了催化剂的脱硝效果。
图1 2 30Ce6W催化剂H2-TPR分析
Fig.12 H2 -TPR analysis of 30Ce6W catalyst
图1 3 30Ce6W催化剂NH3-TPD分析
Fig.13 NH3 -TPD analysis of 30Ce6W catalyst
图13催化剂抗硫前后NH3 -TPD分析结果显示:在进行抗硫测试后,催化剂表面的酸性显著增强,并且在560℃左右出现了一个新的峰,此时的峰为强酸峰,对NH3 的吸附能力也显著增强,这是由于催化剂表面残留的硫酸盐导致了催化剂的酸性增强,因此,在大部分的硫酸铵与硫酸氢铵分解完后,此时催化剂的活性反而会有所提升。
3 结论
1.采用共沉淀法以偏钛酸为钛源,制备了不同Ce,W含量的Ce O2 -WO3 /Ti O2 催化剂,其中通入SO2 后25Ce6W和30Ce6W的催化剂仍能保持最高脱硝率在98%以上,且脱硝率90%和95%的温度区间最宽分别达到了315℃和285℃。抗硫实验显示30Ce6W催化剂脱硝效率仅由98%降到92%,抗硫性能稳定。
2.XPS分析表明25Ce6W和30Ce6W催化剂在进行抗硫测试后,30Ce6W催化剂仍具有较高的Ce4+ 和化学吸附氧含量,因此其脱硝性能高于25Ce6W。同时抗硫测试后表面吸附氧Oα 的比例上升,说明SO2 会增加催化剂表面的Oα 浓度,利于NO的吸附,也有利于将NO氧化为NO2 ,而NO2 的比例越高,SCR反应速度越快,从而对催化效果有一定的促进作用。
3.BET测试表明:抗硫后催化剂的比表面积和孔容减小,这是由于脱硝过程催化剂表面堆积硫酸铵与硫酸氢铵造成催化剂孔隙堵塞及坍塌。H2 -TPR测试结果显示:由于抗硫过程中催化剂表面富集了硫酸铵、硫酸氢铵和硫酸铈的混合物,使580℃附近的还原峰向高温方向移动,从而降低了脱硝效果。催化剂抗硫前后NH3 -TPD分析表明:催化剂抗硫后表面的酸性增强,对NH3 的吸附能力也显著增强,随温度升高硫酸铵与硫酸氢铵分解后,催化剂的活性提升。
参考文献
[1] Han M J,Jiao Y L,Zhou C H,Guo Y L,Guo Y,Lu G Z,Wang L,Zhan W C. Catalytic activity of Cu-SSZ-13prepared with different methods for NH3 -SCR reaction[J]. Rare Metals,2019,38(3):210.
[2] Shan W P,Liu F D,Yu Y B,He H. The use of ceria for the selective catalytic reduction of NOx ,with NH3 [J]. Chinese Journal of Catalysis,2014,35(8):1251.
[3] Liu J D,Huang Z G,Li Z,Guo Q Q,Li Q Y. Ce modification on Mn/TiO2 /cordierite monolithic catalyst for low-temperature NOx reduction[J]. Chemical Journal of Chinese University,2014,35(3):589.(刘建东,黄张根,李哲,郭倩倩,李巧艳. Ce对Mn/TiO/堇青石整体低温脱硝选择性催化还原催化剂的改性[J].高等学校化学学报,2014,35(3):589.)
[4] Tang C,Zhang H,Dong L. Ceria-based catalysts for low-temperature selective catalytic reduction of NO with NH3 [J]. Catalysis Science&Technology,2015,6(5):1248.
[5] Yang Q. Low Temperature Selective Catalytic Reduction of NOx over Ce Modified FeMnOx Catalysts[D]. Guangzhou:South China University of Technology,2011,22.(杨青. Ce改性铁锰复合氧化物低温选择性催化还原NOx 研究[D].广州:华南理工大学,2011,22.)
[6] Li L L. The Research of Preparation and Performance of Ceria-Based Catalyst in the NH3 -Selective Catalytic Reduction[D]. Nanjing:Nanjing University,2017. 37.(李露露.铈基NH3-SCR催化剂的制备及其脱硝性能研究[D].南京:南京大学,2017. 37.)
[7] Zhang L,Zou W X,Ma K L,Cao Y,Xiong Y,Wu S G,Tang C J,Gao F,Dong L. Sulfated temperature effects on the catalytic activity of CeO2 in NH3 -selective catalytic reduction conditions[J]. The Journal of Physical Chemisitry C,2015,119(2):1155.
[8] Li B,Ren Z Y,Ma Z X,Huang X D,Liu F M,Zhang X B,Yang H S. Selective catalytic reduction of NO by NH3 over CuO-CeO2 in the presence of SO2 [J]. Catalysis Science&Technology,2016,6(6):1719.
[9] Gao S,Chen X B,Wang H Q,Mo J S,Wu Z B,Liu Y,Weng X L. Ceria supported on sulfated zirconia as asuperacid catalyst for selective catalytic reduction of NO with NH3 [J]. Journal Colloid and Interface Science,2013,394(1):515.
[10] Zong L Y,Zhang G D,Zhao H J,Zhang J Y,Tang Z C. One pot synthesized CeO2 -WO3 -TiO2 catalysts with enriched TiO2 (001)facets for selective catalytic reduction of NO with NH3 by evaporation induced self-assembly method[J]. Chemical Engineering Journal,2018,254:295.
[11] Jiang Y,Bao C Z,Liu Q Y,Liang G T,Lu M Y,Ma S Y. A novel CeO2 -MoO3 -WO3 /TiO2 catalyst for selective catalytic reduction of NO with NH3 [J]. Catalysis Communications,2018,103:96.
[12] Cao L,Wu X D,Xu Y F,Lin Q W,Hu J F,Chen Y,Ran R,Weng D. Ceria-modified WO3 -TiO2 -SiO2 monolithic catalyst for high-temperature NH3 -SCR[J]. Catalysis Communications,2019,120:55.
[13] Liu H,Fan Z X,Sun C Z,Yu S H,Feng S,Chen W,Chen D Z,Tang C J,Gao F,Dong L. Improved activity and significant SO2 tolerance of samarium modified CeO2 -TiO2 catalyst for NO selective catalytic reduction with NH3 [J]. Applied Catalysis B:Environmental,2019,244:671.
[14] Cao J,Yao X J,Yang F M,Chen L,Fu M,Tang C J,Dong L. Improving the denitration performance and Kpoisoning resistance of the V2 O5 -WO3 /TiO2 catalyst by Ce4+ and Zr4+ co-doping[J]. Chinese Journal of Catalysis,2019,40(1):95.
[15] Chen L,Weng D,Wang J D,Weng D,Cao L. Lowtemperature activity and mechanism of WO3 -modified CeO2 -TiO2 catalyst under NH3 -NO/NO2 SCR conditions[J]. Chinese Journal of Catalysis,2018,39(11):1804.