DOI: 10.11817/j.issn.1672-7207.2015.08.045
预应力钢套箍加固RC桥墩轴压性能试验研究
郭子雄1,黄群贤1,郝娟1,陈建华2,赖有泉2
(1. 华侨大学 土木工程学院,福建 泉州,362021;
2. 福建省第一公路工程公司,福建 泉州,362021)
摘要:针对圆形桥墩,提出一种采用预应力钢套箍(PSJ)对RC圆形桥墩进行加固的技术方法。测量7个采用PSJ加固后墩柱的轴压性能,研究箍板预应力度和配箍特征值对加固试件轴压性能的影响效果和规律,验证所提出的预应力钢套箍加固RC桥墩技术方法的可行性和加固效果,并分析采用PSJ加固RC桥墩的受压机理,提出采用PSJ加固RC桥墩的轴心受压承载力计算公式。实验结果表明:与对比件相比,加固试件的轴心受压承载能力和变形能力都比加固前有较大幅度的提高。研究成果可为既有RC桥墩加固设计提供依据。
关键词:轴压性能;RC桥墩;预应力钢套箍;预应力度
中图分类号:TU398 文献标志码:A 文章编号:1672-7207(2015)08-3100-08
Experimental study on axial compression behavior of RC circular pier retrofitted by prestressed steel jackets
GUO Zixiong1, HUANG Qunxian1, HAO juan1, CHEN Jianhua2, LAI Youquan2
(1. College of Civil Engineering, Huaqiao University, Quanzhou 362021, China;
2. Fujian First Highway Engineering Company, Quanzhou 362021, China)
Abstract: The technique of the prestressed steel jacket (PSJ) reinforced RC circular piers was proposed, based on the six RC circular piers retrofitted with PSJ tested under axial compression to verify the feasibility and the reinforcement effect of PSJ strengthening RC piers. The compress resistant mechanism of PSJ and the compress bearing capacity of retrofitted piers were discussed by analyzing prestressing level of PSJ (α) and configuration parameter of PSJ (η). Based on experimental study, a formula was suggested to calculate the compress bearing capacity of the retrofitted piers. The results indicate that compressive strength of retrofitted pier is enhanced effectively and the ductility of the columns is improved significantly. The experimental and analytical results will provide references for strengthening design of exiting pier.
Key words: compress bearing capacity; RC circular piers; prestressed steel jacket (PSJ); prestressing ratio
桥梁是城市生命线工程的重要组成部分。近年来多次破坏性地震致使大量城市桥梁和公路桥梁遭受严重破坏,造成了巨大的经济损失[1]。桥墩是桥梁结构的主要承重和抗侧力构件,桥墩的破坏往往会引起桥梁结构的整体垮塌。因此,桥墩应具有足够的强度、刚度和延性,以保证桥梁的安全性能。既有桥梁结构往往由于耐久性问题、设计标准低和意外撞击造成损伤等原因,存在安全隐患,急需进行修复加固。传统的RC桥墩加固方法,例如钢板包覆法、纤维包覆法和增大截面法等往往存在应力滞后效应问题,加固材料与原有构件共同工作较差,影响加固效果[2-5]。采用施加横向预应力技术可解决或改善应力滞后效应问题,能有效提高加固效果[6-12]。国内外研究者对施加预应力方面进行了研究,取得了一定的研究成果。Yan等[6]采用在混凝土和FRP管之间的空隙注入膨胀砂浆的方法获得预应力。Yamakawa等[7]提出采用夹钳式方法对AFRP施加环向预应力,并对已发生剪切破坏的钢筋混凝土震损柱进行加固,加固后震损柱的抗压强度得到明显提高。白晓彬等[8]采用了高强度纤维材料自锁式锚具对FRP施加环向预应力,并进行加固混凝土柱轴压试验。邓宗才等[10-11]设计一种张拉锚固系统通过旋紧高强螺栓对钢丝绳施加横向预应力。杨勇 等[12]采用打包机对钢板条施加预应力进行了相应的试验研究。验证了环向预应力FRP能够对核心混凝土提供主动约束,避免应力滞后问题。周长东等[9]采用特制锚具对CFRP施加环向预应力,并进行加固混凝土圆墩抗震性能试验。邓宗才等[10-11]设计了一种张拉锚固系统通过旋紧高强螺栓对钢丝绳施加横向预应力。杨勇等[12]采用打包机对钢板条施加预应力进行了相应的试验研究。由于国内外提出预应力施加技术,预应力水平难控制且施工工艺复杂,在实际工程中难以得到推广应用。本文作者前期提出了采用预应力钢板箍对矩形RC柱进行加固的技术方法(专利号:200520074341.X),并开展了系统的试验研究[13-16],取得良好的加固效果。在此,本文作者针对圆形桥墩的特点,设计了一种利用高强螺栓张拉半圆形箍板对圆形截面RC桥墩施加横向闭合约束的加固技术方法。为验证开加固技术的可行性及加固效果,采用该技术对一批圆形RC桥墩试件进行加固并开展轴压性能试验研究。
1 试验概况
1.1 试件设计
本次试验共制作7个圆形RC桥墩试件,其中,PC1-A和PC1-B为对比件,PC2~PC6为采用PSJ加固的桥墩试件。桥墩截面直径为400 mm,试件缩尺比例为1/3。试件的几何尺寸和配筋构造如图1所示。研究参数包括箍板预应力度和配箍特征值。箍板预应力度α为钢套箍张拉应变与屈服应变的比值。箍板配箍特征值η的意义与箍筋的体积配箍率相同,试件编号和试验参数如表1所示。
所有试件纵向受力钢筋均采用HRB335钢筋,箍筋采用HPB235钢筋,钢套箍采用Q235级普通碳素钢,钢材实测力学性能见表2。桥墩混凝土抗压强度平均值为37.1 MPa。

图1 试件尺寸及配筋
Fig. 1 Geometry and reinforcement details
表1 试验参数
Table 1 Main test parameters

表2 钢材力学性能
Table 2 Mechanical properties of steel

1.2 钢套箍安装
5个加固试件均采用圆形PSJ进行加固,钢套箍的细部构造如图2所示。钢套箍的安装包含安装定位和施加预应力2个过程。钢套箍安装定位后,预应力通过旋紧安装在加力部件上的高强螺栓对钢套箍施加环向预应力。钢套箍预应力度通过粘贴在钢套箍上4个应变片的平均应变来控制,读数通过DH3816数据采集仪读取。当钢套箍达到预先设定的预应力水平,停止张拉。待所有钢套箍预应力张拉完毕,对两半圆箍板搭接处进行三面围焊,箍板冷却后,卸下加力部件,完成所有钢套箍的安装。

图2 钢套箍构造
Fig. 2 Details of steel jacket
1.3 试验加载及量测方案
加载试验在10 MN电液伺服压剪试验机进行,加载制度采用力和位移混合控制的单调静力加载。首先采用力控制加载至2.8 MN,然后转为位移控制加载直至荷载下降超过最大荷载的60%,终止加载。
变形量测方案如下:1) 在下端板的4个角设置4个竖向位移计量测桥墩的轴向总变形;2) 每个试件中部布置3套导杆式引伸仪来测量桥墩中部混凝土的轴向变形,引伸仪标距为400 mm;3) 在试件中部布置有水平位移计量测桥墩中部横向变形;4) 在试件中部混凝土表面粘贴有水平和竖向纸基应变片用于量测桥墩中部混凝土的应变发展,钢筋、钢套箍应变采用电阻应变片进行量测。所有力、位移、应变均由DH3816静态应变仪自动采集。
2 试件结果及分析
2.1 试件破坏过程及特征
各试件的最终破坏形态如图3所示。未加固试件PC1加载初期处于弹性工作状态,当竖向荷载达到极限荷载的40%时,墩柱上部首先出现第1条裂缝,随着荷载的增加,横向变形增大,墩身竖向裂缝数量增多。当竖向荷载达到极限荷载的85%,墩身中间截面出现多条贯穿裂缝,试件刚度下降,纵向钢筋应变屈服,竖向荷载增加缓慢,轴向位移增加较快,纵向裂缝不断延伸,裂缝宽度增大,当几条主要裂缝宽度达到2 mm,混凝土严重剥落,竖向承载力严重退化,试件压溃破坏。

图3 试件最终破坏形态
Fig. 3 Ultimate failure mode of columns
加固试件破坏现象相近,破坏过程均表现为: 当竖向荷载达到极限荷载的80%,柱表面竖向裂缝不断延伸扩展贯穿,纵筋应变屈服,中间截面横向变形明显增大,并伴有压碎混凝土剥落,达到极限承载力后,承载力开始下降,横向变形增大,箍板应变增大,试件破坏位置处箍板均达到屈服应变,混凝土严重剥落,试件承载力迅速下降,其中试件PC2,PC3和PC6钢套箍在焊接位置处断裂。从试验现象可以看出,在各变形条件下,加固试件的损伤程度均比未加固试件的轻。加固试件外表面混凝土初始裂缝、压碎起皮出现时的竖向变形值随配箍特征值和预应力度的提高而增大,破坏时裂缝分布更均匀,竖向裂缝宽度明显减小,加固量最大的试件PC6基本呈现整体破坏模式。
2.2 箍筋和箍板应变
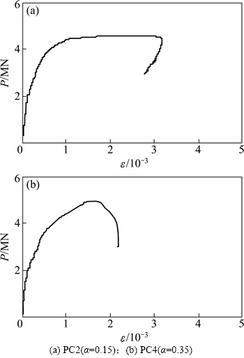
箍筋的应变发展在一定程度上可反映RC墩柱的横向变形发展情况及试件破坏过程。图4所示为试件PC2和试件PC4箍筋应变ε与轴向荷载P的关系曲线。由图4可知,预应力度为0.35的试件PC4在达到极限承载力前,箍筋的应变增速较预应力度为0.15的试件PC2更缓,表明预应力的存在改善了应力滞后效应,预应力箍板减小RC墩柱的横向变形,延缓试件轴压破坏过程。
图5所示为典型箍板应变发展曲线。从图5可以看出:从开始加载到混凝土柱竖向裂缝出现,箍板的应变发展缓慢;竖向裂缝出现后,墩柱横向变形逐步增大,箍板应变也明显增大,对墩柱的横向约束作用增强;接近极限承载力时,柱破坏部位的箍板应变急剧增长。
不同参数下箍板的试验特征点如表3所示。由表3可知:当试件达到峰值荷载时,所有试件的箍板的最大应变均超过了屈服应变,箍板的强度得到充分发挥。当预应力度相同时,随着箍板特征值的增加,箍板的发挥应变逐渐增大。当箍板特征值相同时,随着预应力度的提高,箍板达到屈服时的轴向变形变小。可见对试件施加环向预应力可减小应力滞后效应,提高加固材料的强度发挥效率。

图4 箍筋应变-荷载曲线
Fig. 4 Strain-load curves of stirrups

图5 箍板应变-荷载曲线
Fig. 5 Strain-load curves of PSJ
表3 不同加固参数箍板的特征点试验结果
Table 3 Key points of PSJ at different parameters

2.3 P-Δ曲线及其主要特性分析
试件的P-Δ曲线如图6所示,表4给出了主要特征点的试验值。从图6和表4可知:1) 当箍板特征值一定时,随着预应力度的提高,试件的极限承载力得到有效提高;当预应力度大于0.35,加固试件的极限承载力无明显差异。表明钢套箍的预应力度在0.35即可以达到很好的加固效果;2) 当预应力度一定时,加固试件的极限承载力和变形能力随着箍板特征值的增加而增大;3) 加固试件的初始刚度与未加固试件相当,但随着竖向荷载的增大,加固试件的刚度退化比未加固试件缓慢。表明钢套箍的约束效应,能有效抑制混凝土裂缝的开展和横向变形增大,使得在各变形值下加固试件的损伤程度均比未加固试件轻。
表4 主要特征点试验结果
Table 4 Test results of key points


图6 试件荷载-位移曲线
Fig. 6 Load-displacement curves of samples
3 轴心受压承载力计算
3.1 PSJ加固RC桥墩轴压受力机理分析
预应力钢套箍对混凝土施加主动约束力,抑制其横向膨胀变形,使核心混凝土处于三向受压状态,从而提高其抗压强度。钢套箍对混凝土的侧向约束应力是很重要的参数,直接影响箍板对核心混凝土的约束效果。箍板约束混凝土时的受力情况如图7所示,根据力的平衡条件,可以得到箍板侧向约束应力fl的表达式为
(1)
式中:fl为箍板平均侧向约束应力;kl为侧向约束应力折减系数; fPJ为箍板屈服应力;d为圆柱直径。

图7 圆形截面应力分析
Fig. 7 Stress analysis of column section
侧向约束应力折减系数kl可表示为
(2)
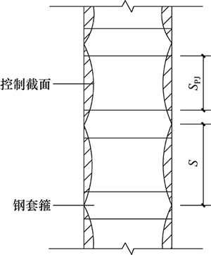
式中:kg为钢套箍有效抗拉强度系数;ks为间隔影响系数,ks=(1-SPJ/(2d))2,SPJ为钢套箍净间距。
本文采用经典的约束混凝土计算模型,得到钢套箍约束下的约束混凝土计算模型为
(3)
式中:fcc为钢套箍约束下混凝土抗压强度;fc0为未约束混凝土轴心抗压强度;kPJ为混凝土强度效应系数。
与箍筋有效约束区情形相似,在预应力钢套箍约束的横截面内,仍然存在有效约束区和非有效约束区;假定约束混凝土的箍板之间存在拱作用的模式,相邻箍板净间距的拱曲线假定为二次抛物线[17],二次抛物线初始切线斜率为45°,见图8。相邻箍板中间截面为有效约束区域面积最小的截面,即控制截面,称之为钢套箍有效约束截面APJ,其面积可表示为
(4)
式中:SPJ为钢套箍净间距。

图8 约束圆形柱拱控制截面
Fig. 8 Control section of confined circular column
3.2 箍板有效抗拉强度系数
箍板有效抗拉强度系数kg为试件达到峰值荷载时,箍板平均应变与箍板屈服应变的比值,试验得到各试件箍板有效抗拉强度系数实测值如表5所示。
从表5可知:kg实测值随预应力度和钢套箍特征值的提高而增大,因此假定箍板有效抗拉强度系数与预应力度、配箍特征值的函数关系为
(5)
式中:α为预应力度;η为配箍特征值;a1,a2,a3,a4和a5为待定常数。
依据式(5)的函数关系,用数据编辑器SPSS对表5中预应力度、配箍特征值以及实测箍板有效抗拉强度系数进行非线性回归分析,可得到各待定常数,将各常数值带入式(5)得箍板有效抗拉强度系数表达式为
(6)
式中:0.15≤α≤0.53,0.21≤η≤0.43。
用式(6)计算所得箍板强度发挥系数见表5。
表5 箍板有效抗拉强度系数
Table 5 Strength development coefficient of PSJ

3.3 加固桥墩轴心受压承载力计算
3.3.1 轴心受压承载力计算假定
为便于工程实际应用,对桥墩柱轴压承载力计算模型进行简化,提出以下基本假定:
1) 箍筋与钢套板箍对混凝土的约束作用可线性叠加,且仅考虑箍筋和钢套箍分别对无约束混凝土的作用后简单叠加,以求得试件的总承载力。
2) 钢套箍仅考虑其环向拉力对混凝土墩柱的约束作用。
3) 各箍筋强度发挥系数相同。
3.3.2 轴心受压承载力计算公式
预应力钢套箍加固混凝土墩柱轴心受压承载力由约束混凝土受压承载力和纵筋轴心受压承载力2部分组成,约束混凝土承担的荷载可分为3部分:1) 未约束混凝土承担的荷载;2) 箍筋约束下混凝土受压承载力提高部分;3) 钢套箍约束下混凝土受压承载力提高部分。由此可得墩柱的轴心抗压承载力表达式为
(7)
式中:Nc为约束混凝土受压承载力;Ns为纵向钢筋所能承受的轴压荷载;Nc0为未受约束混凝土受压承载力;
为箍筋约束下混凝土受压承载力提高部分;
为钢套箍约束下混凝土受压承载力提高部分。
未受约束混凝土能够承担的荷载可表示为
(8)
式中:fc0为未约束混凝土轴心抗压强度;Ac为墩柱截面净面积。
箍筋约束下混凝土抗压承载力提高部分可表示 为[18]
(9)
式中:
为箍筋侧向有效约束应力;
为圆形箍筋间净距;ds为箍筋中心线间距离。
纵向钢筋所能承受的轴压荷载为
(10)
式中:fy为纵筋屈服强度;As为全部纵向钢筋截面积之和。
钢套箍约束下混凝土强度提高部分的承载力可表示为


(11)
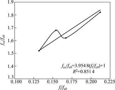
通过对试验数据回归统计可得fcc/fc0—fl/fc0关系曲线如图9所示,由式(3)可知:混凝土强度效应系数kPJ=3.954 8。由式(1)和(2)可得箍板平均侧向约束应力表达式:
(12)
将kPJ=3.954 8及式(12)代入式(11)得:
(13)

图9 fcc/fc0-fl/fc0关系曲线
Fig. 9 Relationship between fcc/fc0 and fl/fc0
3.4 PSJ加固RC墩柱轴心受压承载力计算
根据上述提出的采用PSJ约束下RC墩柱轴心受压承载力计算公式,对6个试件的轴心受压承载力进行计算,计算值与试验值如表6所示。从表6可以看出,各个试件轴心受压承载力计算值与试验值吻合较好,具有较好的可靠性,计算值与试验值之比的平均值ξave=0.982,均方差σ=0.03。
表6 轴心受压承载力计算值与试验值比较
Table 6 Comparison of calculated values and test results of axial compressive bearing capacity

4 结论
1) 预应力钢套箍加固RC墩柱可显著提高其轴向受压承载力。加固试件的承载力和变形能力随着预应力度和箍板配箍特征值的增加而提高。当预应力度大于0.35,加固试件的极限承载力无明显差异。表明钢套箍的预应力度在0.35即可以达到很好的加固效果。
2) 预应力钢套箍能够对试件形成良好的主动约束,有效抑制竖向裂缝的开展。在各变形下未加固试件的损伤程度均比加固试件严重。
3) 预应力钢套箍加固RC墩柱不增大试件的初始刚度,且加固试件的刚度退化比未加固试件缓慢。
4) 提出了PSJ加固RC桥墩柱轴心受压承载力计算公式,该公式具有较好的可靠性,可作为加固设计提供依据。
参考文献:
[1] 范立础. 现代化城市桥梁抗震设计若干问题[J]. 同济大学学报, 1997, 25(2): 147-154.
FAN Lichu. Seismic design problems of Modern city bridge[J]. Journal of Tongji University, 1997, 25(2): 147-154.
[2] 匡志平, 王皓波, 赵强. 碳纤维加固桥梁结构技术的应用[J]. 同济大学学报, 2001, 29(8): 986-989.
KUANG Zhiping, WANG Haobo, ZHAO Qiang. Application of carbon fiber reinforced bridge construction[J]. Journal of Tongji University, 2001, 29(8): 986-989.
[3] Mahmoud T E, Joseph W T. Analysis of Reinforced concrete Beams Strengthened with FRP Laminates[J]. Journal of Structural Engineering, 2000, 126(6): 684-691.
[4] 柯敏勇, 张新民, 金初阳. 纤维增强塑料在桥梁加固工程中的应用[J]. 解放军理工大学学报(自然科学版), 2002, 2(3): 49-54.
KE Minyong, ZHANG Xinmin, JIN Chuyang. Fiber reinforced plastic in the application of bridge reinforcement engineering[J]. Journal of PLA University of Science and Technology, 2002, 2(3): 49-54.
[5] 李文英. 粘贴钢板补强法在桥梁加固中的应用[J]. 中国公路, 2007(4): 86-87.
LI Wenying. Paste steel reinforcement method in the application of bridge reinforcement[M]. China Highway, 2007(4): 86-87.
[6] Yan Z, Pantelides C P, Reaveley L. Posttensioned FRP composite shells for concrete confinement[J]. Composites for Construction, 2007, 11(1): 81-90.
[7] Yamakawa T, Banazadeh M, Fujikawa S. Emergency retrofit of shear damaged extremely short RC columns using pretensioned aramid fiber belts[J]. Journal of Advanced Concrete Technology, 2005, 3(1): 95-106.
[8] 白晓彬. 环向预应力FRP加固混凝土圆柱轴心受压性能研究[D]. 北京: 北京交通大学土木工程学院, 2011.
BAI Xiaobin. Prestressed FRP reinforced concrete columns under axial performance study[D]. Beijing: Beijing Jiaotong University. School of Civil Engineering, 2011.
[9] 周长东, 田腾, 吕西林, 等. 预应力碳纤维条带加固混凝土圆墩抗震性能试验[J]. 中国公路学报, 2012, 25(4): 57-66.
ZHOU Changdong, TIAN Teng, LU Xilin, et al. Test on seismic performance of RC circular piers strengthened with prestressed CFRP belts[J]. China Journal of Highway and Transport, 2012, 25(4): 57-66.
[10] 邓宗才, 李辉. 预应力钢绞线加固混凝土短柱抗震性能研究[J]. 应用基础与工程科学学报, 2014, 22(5): 941-951.
DENG Zongcai, Li Hui. Seismic behavior of RC columns strengthened with prestressed steel wires[J]. Journal of Basic Science and Engineering, 2014, 22(5): 941-951.
[11] 郭俊平, 邓宗才, 林劲松, 等. 预应力钢绞线网加固混凝土圆柱的轴压性能[J]. 工程力学, 2013, 31(3): 129-137.
GUO Junping, Deng Zongcai, Lin Jingshong, et al. Axial compression performance of concrete columns strengthened with prestressed high strength steel wire mesh[J]. Engineering Mechanics, 2013, 31(3): 129-137.
[12] 杨勇, 赵飞, 刘义, 等. 预应力钢带加固钢筋混凝土柱抗震性能试验研究[J]. 工业建筑, 2013, 43(2): 45-48.
YANG Yong, Zhao Fei, Liu Yi, et al. Experimental study on reinforced concrete column retrofitted by prestressed steel strips [J]. Industrial Construction, 2013, 43(2): 45-48.
[13] 郭子雄, 张杰, 李传林. 预应力钢板箍加固高轴压比框架柱抗震性能研究[J]. 土木工程学报, 2009, 42(12): 112-117.
GUO Zixiong, ZhANG Jie, LI Chuanlin. Seismic strengthening of rectangular RC columns using prestressing steel jackets[J]. Journal of Civil Engineering, 2009, 42(12):112-117.
[14] 郭子雄, 吴毅彬, 曾建宇. 预应力钢板箍加固RC短柱抗剪承载力试验研究[J]. 工程力学, 2010, 27(3): 138-144.
GUO Zixiong, WU Yibin, ZENG Jianyu. Experimental study on shear bearing capacity of RC short column retrofitted by prestressed steel jacket[J]. Engineering Mechanics, 2010, 27(3): 138-144.
[15] 郭子雄, 曾建宇, 黄群贤, 等. 预应力钢板箍加固RC 柱轴压性能试验研究[J]. 建筑结构学报, 2012, 33(11): 124-131.
GUO Zixiong, Zeng Jianyu, Huang Qunxian, et al. Experimental study on axial compression behavior of RC columns retrofitted by prestressed steel jackets[J]. Journal of Building Structures, 2012, 33(11): 124-131.
[16] 曾建宇, 郭子雄. 预应力钢板箍约束 RC 柱轴压性能数值模拟及试验验证[J]. 工程力学, 2013, 30(2): 203-210.
ZENG Jianyu, Guo Zixiong. Behavior of RC columns confined by prestressed steel jackets under axial loading[J]. Engineering Mechanics, 2013, 30(2): 203-210.
[17] Faella C, Martinelli E, Camorani G, et al. Masonry columns confined by composite materials: Design formulae[J]. Composites Part B: Engineering, 2011, 42(4): 692-704.
[18] Mander J B, Priestley M J N, Park R. Theoretical stress-strain model for confined concrete[J]. Journal of Structural Engineering, 1985, 114(8): 1804-1826.
(编辑 赵俊)
收稿日期:2014-06-13;修回日期:2014-08-27
基金项目(Foundation item):国家自然科学基金资助项目(51178197,51208219,51006133);福建省科技重大项目(2013Y4006);华侨大学中青年教师科研资助计划(ZQN-PY111)(Projects (51178197, 51208219, 51006133) supported by the National Natural Science Foundation of China; Projects (2013Y4006) supported by the Important Scientific and Technological Program of Fujian Province; Project (ZQN-PY111) supported by the Promotion Program for Young and Middle-aged Teacher in Science and Technology Research of Huaqiao University, China)
通信作者:郭子雄,博士,教授,博士生导师,从事工程结构抗震与防灾研究;E-mail:guozxcy@hqu.edu.cn