Na3AlF6-AlF3-LiF-MgF2-Al2O3-Sm2O3熔盐体系表面张力的研究
来源期刊:稀有金属2018年第1期
论文作者:焦芸芬 王旭 廖春发 孙强超 蔡伯清 汤浩
文章页码:75 - 82
关键词:Sm2O3;熔盐电解;表面张力;回归方程;Al-Sm中间合金;
摘 要:采用拉筒法测定了在9051055℃温度范围内Na3AlF6-AlF3(12%)-LiF(5%)-MgF2(5%)-Al2O3-Sm2O3熔盐体系的表面张力,研究了温度、Al2O3和Sm2O3添加量对熔盐表面张力的影响,并用最小二乘法建立了熔盐表面张力与温度、Al2O3与Sm2O3添加量之间的回归数学模型,确定了熔盐电解制备Al-Sm中间合金较为适宜的电解条件。研究结果表明:熔盐体系表面张力与温度有良好的线性关系,并随着温度的升高而下降;Al2O3添加量的递增对熔盐体系表面张力产生线性减小的影响,而Sm2O3添加量的递增却对熔盐表面张力产生线性增加的影响;当ωAl2O3∶ωSm2O3=9∶1,7∶3或1∶1时,熔盐表面张力随混合氧化物添加量的增大而线性减小,当ωAl2O3∶ωSm2O3=3∶7时,熔盐表面张力却随混合氧化物添加量的增大而线性增加;表面张力回归方程为σ=0.21813-0.00146ωAl2O3+0.000553343ωSm2O3-0.0000774912 t。
网络首发时间: 2017-01-03 10:50
稀有金属 2018,42(01),75-82 DOI:10.13373/j.cnki.cjrm.XY16110024
焦芸芬 王旭 廖春发 孙强超 蔡伯清 汤浩
江西理工大学冶金与化学工程学院
采用拉筒法测定了在9051055℃温度范围内Na3AlF6-AlF3 (12%) -LiF (5%) -MgF2 (5%) -Al2O3-Sm2O3熔盐体系的表面张力, 研究了温度、Al2O3和Sm2O3添加量对熔盐表面张力的影响, 并用最小二乘法建立了熔盐表面张力与温度、Al2O3与Sm2O3添加量之间的回归数学模型, 确定了熔盐电解制备Al-Sm中间合金较为适宜的电解条件。研究结果表明:熔盐体系表面张力与温度有良好的线性关系, 并随着温度的升高而下降;Al2O3添加量的递增对熔盐体系表面张力产生线性减小的影响, 而Sm2O3添加量的递增却对熔盐表面张力产生线性增加的影响;当ωAl2O3∶ωSm2O3=9∶1, 7∶3或1∶1时, 熔盐表面张力随混合氧化物添加量的增大而线性减小, 当ωAl2O3∶ωSm2O3=3∶7时, 熔盐表面张力却随混合氧化物添加量的增大而线性增加;表面张力回归方程为σ=0.21813-0.00146ωAl2O3+0.000553343ωSm2O3-0.0000774912 t。
中图分类号: O645.4
作者简介:焦芸芬 (1979-) , 女, 江西遂川人, 博士研究生, 副教授, 研究方向:稀土冶炼分离与综合回收利用;E-mail:yyjyf@163.com;;廖春发, 教授;电话:0797-8312215;E-mail:liaochfa@163.com;
收稿日期:2016-11-14
基金:国家自然科学基金项目 (51564015);江西省研究生创新专项资金项目 (YC2015-B064);江西省教育厅科学技术项目 (GJJ150664);江西理工大学优秀博士学位论文培育项目 (YB2016007) ;江西理工大学科研基金项目 (NSFJ2014-G09) 资助;
Jiao Yunfen Wang Xu Liao Chunfa Sun Qiangchao Cai Boqing Tang Hao
School of Metallurgy and Chemical Engineering, Jiangxi University of Science and Technology
Abstract:
The surface tension of Na3AlF6-AlF3 ( 12%) -LiF ( 5%) -MgF2 ( 5%) -Al2O3-Sm2O3 molten salt system was measured by the slide method at the temperature range of 905 ~ 1055 ℃. The effects of temperature, Al2O3 and Sm2O3 addition on the surface tension of molten salt were studied. The regression model between the surface tension of molten salt, temperature and the addition of Al2O3 and Sm2O3 was established by least squares method. Then the optimum electrolysis conditions for the preparation of Al-Sm master alloy by molten salt electrolysis were determined. The results showed that the surface tension of the molten salt system had a good linear relationship with the temperature and decreased with the increase of temperature. The surface tension of molten salt system decreased linearly with increase of Al2O3 content and increased linearly with the increase of Sm2O3 content. The surface tension of molten salt decreased linearly with the increase of the mixed oxides content when ωAl2O3∶ ωSm2O3= 9∶ 1, 7∶ 3 or 1∶ 1; but the surface tension increased linearly with the increase of mixed oxide content when ωAl2O3∶ ωSm2O3= 3∶ 7. The surface tension regression equation was σ = 0. 21813-0. 00146ωAl2O3+ 0. 000553343ωSm2O3-0. 0000774912 t.
Keyword:
Sm2O3; molten saltelectrolysis; surface tension; regression analysis; Al-Sm master alloy;
Received: 2016-11-14
众所周知, 与普通铝合金相比, 铝-稀土合金是一种性能优越的新型材料, 在航空航天、电线电缆、交通运输、建筑桥梁等各个领域都能见到它的身影。Al-RE合金有Al-RE中间合金与Al-RE铸造合金两大类。Al-RE中间合金是用于生产Al-RE铸造合金的关键原料, 在生产中起着配料、调整合金元素含量、微细化合金组织及改善铝合金各种加工工艺性能、物理性能的重要作用。随着全球对环境保护、节能减排和清洁生产的呼声越来越高, Al-RE中间合金的熔盐电解制备技术已成为人们关注和研究的热点。
目前, 熔盐电解制备Al-RE中间合金主要集中于Al-Sc[1,2,3,4,5,6], Al-Ce[7,8,9], Al-Nd[10], Al-Eu[11], Al-Gd[12], Al-Tb[13], Al-Er[14], Al-Lu[15]等中间合金的形成机制、电化学行为两方面的研究, 关于熔盐物理化学性质研究甚少, 尤其是熔盐的界面性质。熔盐的界面性质主要指熔盐与气相界面上的表面张力、熔盐及混合物与固相 (碳) 的界面张力, 这些性质将关系到金属液滴是否会被氧化、电解槽衬里对电解质的选择性吸收作用、衬里材料里面毛细压力的发生及阳极效应现象等。现在与AlRE中间合金电解制备中熔盐体系表面张力的研究主要有:李义根和吕松涛[16]采用气泡最大压力法测定了Na3Al F6-Al2O3-Y2O3-Mg F2熔盐体系的表面张力, 研究了温度、Al2O3、Y2O3含量对熔盐体系的表面张力, 并推导出表面张力回归方程;刘建中等[17]通过白金毛细管、氖气鼓泡, 采用最大气泡压力法研究了2.7Na F·Al F3-Ca F2-Al2O3-Ymm2O3熔体的表面张力, 并建立了表面张力与温度、Al2O3、Ymm2O3 (钇组混合稀土氧化物) 浓度之间的数学关系表达式;孙本良等[18]为制取铝钪合金, 对Na ClKCl-Sc Cl3熔盐体系表面张力进行了研究, 表明表面张力随温度、Sc Cl3含量的升高而降低。鲁化一等[19]采用三因子一次回归正交试验研究了950℃下Na3Al F6-Li F-RE2O3熔盐体系表面张力与温度、Li F及RE2O3含量之间的关系。
可见, 由于高温熔融状态下的表面张力实验测定比较困难, 致使对Al-RE中间合金电解制备的熔盐体系表面张力研究不够充分, 已有数据缺乏完整性和系统性。而研究熔盐的表面张力对熔盐中质点间的作用力、熔盐结构、特别是熔盐表面结构有着极其重要的作用[20], 并可为熔盐电解制备Al-RE中间合金提供参考数据。因此, 本文以Na3Al F6-Al F3-Li F-Mg F2为主要研究对象, 改变温度及Al2O3, Sm2O3添加量, 对该熔盐体系的表面张力进行研究与探讨, 以期为熔盐电解制备Al-Sm中间合金合理电解质的选择提供一定的借鉴和依据。
1 实验
1.1 原料
化学纯的Na3Al F6, Al F3, Li F, Mg F2, Al2O3与纯度99.91%的Sm2O3在空气中200℃下烘干5 h, 充分脱出吸附水, 按照Al F3, Li F, Mg F2分别为Na3Al F6质量的12%, 5%, 5%配制Na3Al F6-Al F3-Li F-Mg F2基础熔盐体系, 再按预设实验加入不同比例Al2O3, Sm2O3配制待测熔盐。纯度为99%的高纯石墨做为坩埚材质。
1.2 装置与方法
熔盐体系表面张力采用RTW-10型熔体物性仪 (鞍山科翔) 进行测定, 测试装置如图1所示, 主要包括高温电阻炉、具有升降功能的支架、由电子天平与悬挂其下方的钼测头所组成的表面张力测试单元、自动控制中心等4个部分。
图1 实验装置示意图Fig.1 Schematic diagram of experimental apparatus
表面张力的测定方法主要有毛细管法、最大气泡压力法、电磁悬浮法、拉筒法、液滴法等[20], 本文采用拉筒法[21], 实验所使用的拉筒为圆柱形钼测头, 具体实验原理与操作过程如下:将置于石墨坩埚中的待测试样放入高温电阻炉内, 通电进行升温, 当温度达到预设温度后恒温20 min, 将电子天平读数归零, 运行表面张力测试软件, 测出钼测头在空气中的质量m0, 启动升降系统, 使钼测试头完全浸没所测熔盐体系, 等体系平稳后缓慢将钼测头向上拉, 当钼测头表面浮出熔盐表面时, 由于熔盐表面张力的作用, 使得液面被柱面向上带起, 从而可以通过电子天平测出钼测头被拉离熔盐所需拉力F, 当钼测头与熔盐液面要分离的瞬间, 拉力达到最大值, 根据钼测头的受力平衡, 可得:

式中:σ为所测熔盐表面张力, N·m-1;r为钼测头半径, m;Fmax为钼测头被拉离熔盐时所需最大拉力, N;m0为离开熔盐后钼测头质量, kg。
因此, 可根据式 (1) 计算出相应温度下熔盐的表面张力。
测熔盐表面张力之前, 需对由于实验环境、仪器系统误差等因数影响下的表面张力常数K进行标定:

813℃时测定出KCl熔融液体的表面张力为0.09657 N·m-1, 根据式 (2) 得出K=65.0546 S-2, 从而可用此K值对熔盐表面张力进行计算。为检验仪器测定的可靠性, 与文献[22]对比相对误差为1.29%, 表明此方法能够满足一般科研实验的精度要求, 实验结果具有一定的可信度。
2 结果与讨论
2.1 温度对熔盐体系表面张力的影响
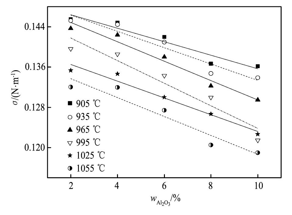
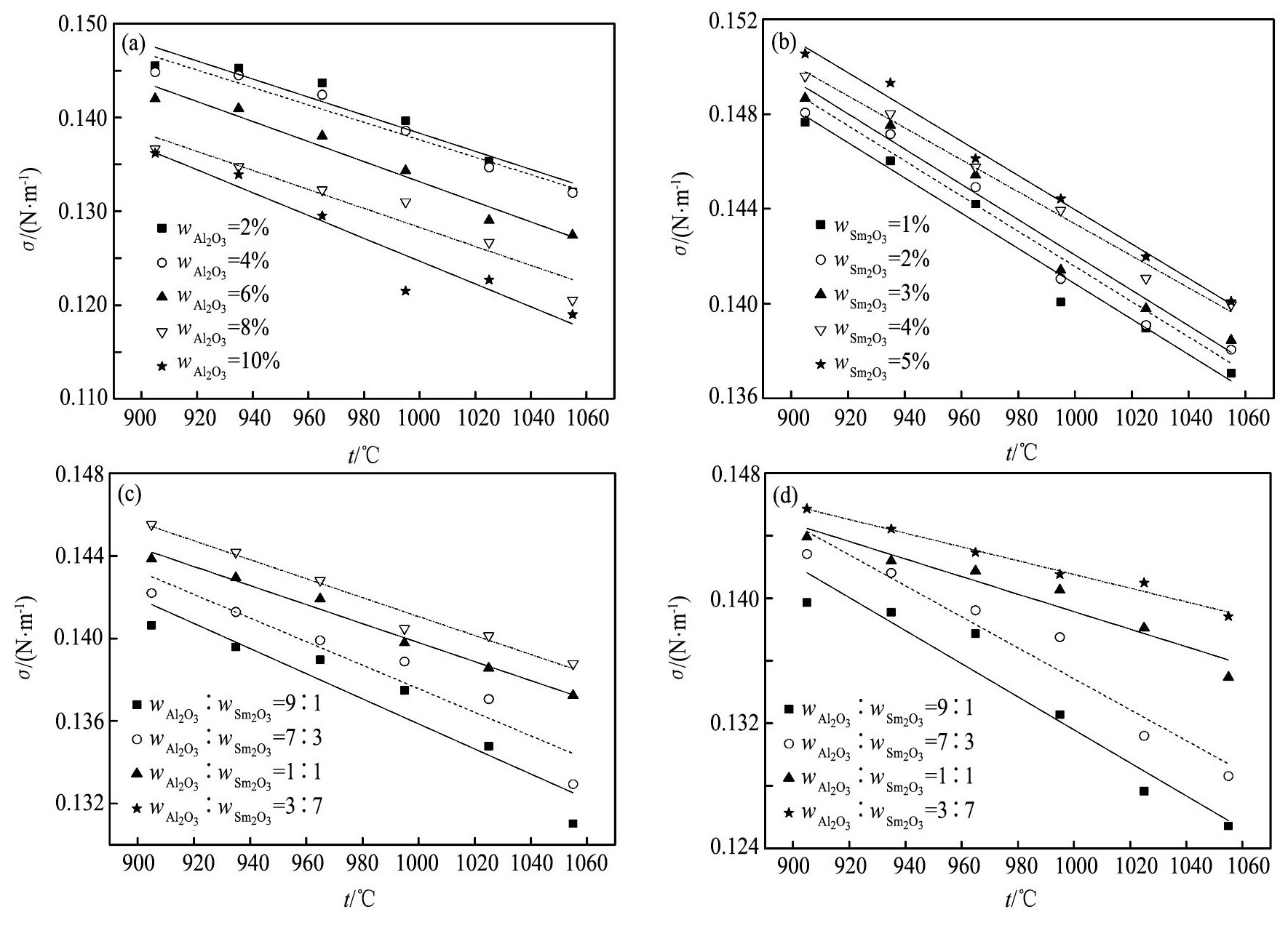
考察当往Na3Al F6-Al F3 (12%) (质量分数, 下同) -Li F (5%) -Mg F2 (5%) 基础熔盐体系中依次加入Al2O3 (2%~10%) , Sm2O3 (1%~5%) , Al2O3-Sm2O3 (3%~5%, 其中, Al2O3∶Sm2O3质量比分别取9∶1, 7∶3, 1∶1, 3∶7) 时, 不同温度 (905~1055℃, 变化幅度为30℃) 对熔盐体系表面张力σ的影响, 实验结果如图2所示。
图2 熔盐表面张力与温度的关系Fig.2 Relationship between molten salts surfacetension and temperature
(a) ωAl2O3=2%~10%, ωSm2O3=0%; (b) ωAl2O3=0%, ωSm2O3=1%~5%; (c) ωAl2O3+ωSm2O3=3%; (d) ωAl2O3+ωSm2O3=5%
由图2中 (a~d) 可以看出, 对于相同熔盐体系而言其表面张力都是随着温度的升高而呈现减小的现象, 这与文献[16-17, 19]中温度对Na3Al F6-Mg F2-Al2O3-Y2O3, Na3Al F6-Ca F2-Al2O3-Ymm2O3与Na3Al F6-Li F-RE2O3熔盐表面张力影响规律是相似的。同时, 表面张力与温度基本具有线性相关性 (相关直线拟合方程列于表1) , 但减小的幅度即直线斜率不尽相同, 尤其是图2 (d) 中, 其斜率在-1.06~-9.9范围内, 变化较为明显。
这是因为, 当熔盐的温度升高时, 存在于熔盐内部的简单阴、阳离子如Na+, F-等及络合阴离子 (Al-O-F或Sm-O-F络合阴离子等) 都会因热运动程度的加剧而离开原来的平衡位置, 使得离子间距离逐渐加大, 导致离子之间相互吸引的能力减弱, 所以熔盐表面张力随之下降。当然, 众所周知, 熔盐中的络合阴离子会在温度升高的情况下发生进一步解离, 而使熔盐内简单离子数量增加, 导致表面张力有所增加, 但增加趋势远小于由于离子间距离增加而使表面张力减小的趋势。因此, 在两种情况的综合作用下, 表面张力最终表现出的是随着温度的升高而下降。
表1 熔盐体系表面张力与温度的关系Table 1Relationship between fused salt surface tension and temperature 下载原图

表1 熔盐体系表面张力与温度的关系Table 1Relationship between fused salt surface tension and temperature
2.2 Al2O3添加量变化对熔盐体系表面张力的影响
考察当往Na3Al F6-Al F3 (12%) -Li F (5%) -Mg F2 (5%) 基础熔盐体系中添加Al2O3质量分数分别为2%, 4%, 6%, 8%, 10% (Sm2O3质量分数为0%) 时, 同等温度条件下对熔盐体系表面张力σ的影响, 实验结果如图3所示。
由图3可知, 在相同的温度下, Na3Al F6-Al F3 (12%) -Li F (5%) -Mg F2 (5%) 基础熔盐表面张力与文献[17, 19]类似是随着加入其中的Al2O3质量分数的增加而不断减小, 并且熔盐中每增加1%Al2O3, 表面张力平均降低约0.00328 N·m-1。同时, 可以看出熔盐表面张力与Al2O3添加量之间具有较好的线性关系 (线性拟合结果如表2所示) 。
这是因为Al2O3会与熔融Na3Al F6-Al F3-Li F-Mg F2体系中的Na3Al F6发生反应[23]而生成Al2OF62-, Al2OF84-, Al2O2F42-等Al-O-F络合阴离子, 且随着Al2O3添加量的增加, 熔盐中原本由Na3Al F6在高温下解离生成的Al-F络合阴离子数量减少, 而由于O2-引入相应生成的Al-O-F络合阴离子数量却在不断增多, 使得熔盐离子结构更加复杂。
图3 不同Al2O3添加量对熔盐表面张力的影响Fig.3 Effect of Al2O3addition on molten salts surface tension
表2 Al2O3添加量与熔盐表面张力的关系Table 2Relationship between Al2O3addition and molten salts surface tension 下载原图

表2 Al2O3添加量与熔盐表面张力的关系Table 2Relationship between Al2O3addition and molten salts surface tension
一般来说, 熔盐表面张力与熔盐中各个离子的广义力矩M (又称离子势, 如式 (3) 所示) 成正比。

其中:M为离子广义力矩;e为电子电荷, C;n为离子价数;r为离子半径, pm。
当熔盐中阳离子半径或数目基本不变的情况下, 表面张力主要由阴离子决定[24]。在Na3Al F6-Al F3-Li F-Mg F2熔盐中, 主要存在的阳离子有Na+, Li+等, 它们基本不会随着体系中Al2O3的加入而发生改变, 故熔盐表面张力应与不断增加的Al-O-F络合阴离子有关。依据式 (3) 可以判断出, 由于生成的Al-O-F络合阴离子电荷低、体积大, Al-O-F络合阴离子广义力矩比熔盐中其他离子如Na+, Li+, F-等广义力矩总和要更小, 使得Al-O-F络合阴离子更易集聚于熔盐表面上, 从而熔盐内部金属阳离子对表层中阴离子的静电吸引力将减小。因此, 熔盐表面张力会随Al2O3添加量的增加而降低。
由此可见, Al2O3是Na3Al F6-Al F3-Li F-Mg F2熔盐的表面活性物质。
熔盐离子理论认为:熔盐中酸性氧化物的添加将增进络合阴离子结构复杂化的趋势, 使得阴离子基团体积变大, 减小了对阳离子的静电引力, 从而表面张力降低;反之, 碱性氧化物加入, 将使络合阴离子分裂为结构较为简单、尺寸较小的单元, 增大了与阳离子之间的静电引力, 使得表面张力增大[25]。从图2表面张力的变化趋势来看, 可认为Al2O3在此熔盐体系中显现出酸性, 即在Na3Al F6-Al F3-Li F-Mg F2熔盐中由于酸性氧化物Al2O3的存在而使阴离子结构更加复杂、体积更为庞大, 导致表面张力的减小。
2.3 Sm2O3添加量变化对熔盐体系表面张力的影响
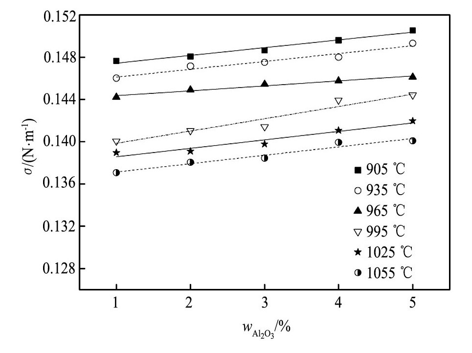
考察当往Na3Al F6-Al F3 (12%) -Li F (5%) -Mg F2 (5%) 基础熔盐体系中添加Sm2O3质量分数分别为1%, 2%, 3%, 4%, 5% (Al2O3质量分数为0%) 时, 同等温度条件下对熔盐体系表面张力σ的影响, 实验结果如图4所示。
图4 不同Sm2O3添加量对熔盐表面张力的影响Fig.4 Effect of Sm2O3addition on molten salts surface tension
从图4可以看出, 对于同一温度时, Na3Al F6-Al F3 (12%) -Li F (5%) -Mg F2 (5%) 基础熔盐表面张力却是随着Sm2O3添加量的增加而不断升高, 这一现象虽与添加Al2O3的情况完全相反, 但却与文献[17, 19]研究的RE2O3对Na3Al F6混合熔盐体系表面张力影响规律一致。经过分析可以发现, Na3Al F6-Al F3-Li F-Mg F2熔盐表面张力与Sm2O3加入量之间也基本呈线性关系 (线性拟合结果如表3所示) , 而且熔盐中每增加1%Sm2O3, 表面张力数值相应增加约0.000771 N·m-1, 增长幅度较小。
这是因为Sm2O3在Na3Al F6-Al F3-Li F-Mg F2熔盐中虽会生成Sm-F, Sm-O-F, Al-O-F等络合阴子, 但由于Sm3+半径 (395.8 pm) 比Al3+半径 (353.5pm) 更大, 从而Sm2O3溶解于Na3Al F6生成的络合阴离子稳定性不如Al2O3溶解于Na3Al F6生成AlO-F络合阴离子, 即Sm-F, Sm-O-F络合阴离子更易解离成结构更为简单的离子[16,17], 使得熔盐中出现大量尺寸更小、结构更加简单的离子, 这些简单离子电荷密度、广义力矩M比络合阴离子更大。因此, 解离后络合阴离子与金属阳离子如Na+等之间的相互作用能力增大, 故熔盐表面张力有所增加。
表3 Sm2O3添加量与熔盐表面张力的关系Table 3 Relationship between Sm2O3addition and molten salts surface tension 下载原图

表3 Sm2O3添加量与熔盐表面张力的关系Table 3 Relationship between Sm2O3addition and molten salts surface tension
可见, Sm2O3是Na3Al F6-Al F3-Li F-Mg F2熔盐的表面惰性物质, 即非表面活性物质。依据熔盐离子理论, 从图3表面张力的变化趋势来看, Sm2O3在此熔盐体系中可视为起到了碱性氧化物的作用。
2.4 Al2O3与Sm2O3不同配比添加量变化对熔盐体系表面张力的影响
考察当往Na3Al F6-Al F3 (12%) -Li F (5%) -Mg F2 (5%) 基础熔盐体系中添加混合氧化物 (Al2O3+Sm2O3) 质量分数分别为3%, 5% (同一质量分数下Al2O3与Sm2O3按质量分数分别为9∶1, 7∶3, 1∶1, 3∶7进行配比) 时, 同等温度条件下对熔盐体系表面张力σ的影响, 实验结果如图5所示。
从图5中 (a) 所测Na3Al F6-Al F3 (12%) -Li F (5%) -Mg F2 (5%) -Al2O3-Sm2O3熔盐表面张力结果可以发现, 在混合氧化物 (Al2O3+Sm2O3) 添加量相同的情况下, 随着Al2O3, Sm2O3两者质量分数的减少, 即随着混合氧化物中Sm2O3含量的增加熔盐表面张力出现向上增长的趋势。图5中 (b) 也表现出类似的规律。可见, Al2O3与Sm2O3添加量比例的不同对熔盐表面张力具有一定的影响能力。
这主要是因为此时熔盐表面张力是由添入体系内的Al2O3与Sm2O3共同决定的, 当两者同时加入后, 熔盐中既存在由Al2O3带来的Al-O-F络合阴离子, 也存在Sm2O3溶解而产生的Sm-F, Sm-O-F等络合阴离子与Sm3+, F-等简单离子。而在混合氧化物总质量保持不变的情况下, 随着Sm2O3质量百分含量的增加, 对应则是Al2O3质量百分含量的下降, 熔盐中出现离子半径比Al-O-F络合阴离子更小的Sm-F, Sm-O-F, Sm3+, F-等的机会将不断增加, 所以广义力矩M逐渐增大, 致使熔盐表面张力相应增加。
比较图5 (a, b) 曲线可以看出, 一是当Al2O3与Sm2O3质量分数分别为9∶1, 7∶3, 1∶1时, 混合氧化物质量百分数为3%的熔盐表面张力基本大于同等温度条件下质量分数为5%的熔盐表面张力;二是当Al2O3与Sm2O3质量百分比为3∶7时, 情况却截然相反。第一情况是由于混合氧化物中所含Sm2O3比例不高时, Al2O3对熔盐表面张力起主要作用, 故表面张力类似于2.2会随着氧化物添加量的增大而减小。而第二种情况是因为Sm2O3在混合氧化物中占大多数, 因而Al2O3对熔盐表面张力的作用微乎其微, 所以表面张力的变化可用添加Sm2O3的作用机制进行解释, 即随着氧化物加入量的增大而增大。
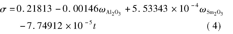
2.5 表面张力回归数学模型
对于本文研究的Na3Al F6-Al F3 (12%) -Li F (5%) -Mg F2 (5%) -Al2O3-Sm2O3熔盐体系, 考虑ωAl2O3, ωSm2O3, t 3个因素对熔盐表面张力的综合影响, 将实验所获得的表面张力采用最小二乘法进行多元线性回归分析, 建立该熔盐体系表面张力的数学模型, 回归方程如式 (4) 所示:
图5 Al2O3与Sm2O3不同配比添加量对熔盐表面张力的影响Fig.5 Effect of different proportions between Al2O3and Sm2O3addition on molten saltssurface tension
(a) ωAl2O3+ωSm2O3=3%; (b) ωAl2O3+ωSm2O3=5%

式中:σ为熔盐表面张力, N·m-1;ωAl2O3为熔盐中Al2O3的质量分数, %;ωSm2O3为熔盐中Sm2O3的质量分数, %;t为熔盐的温度, ℃。此方程的线性相关系数R2=0.90856。
上述回归方程适用的范围为:ωAl2O3为0%~10%, ωSm2O3为0%~5%, t为905~1055℃。
一般而言, 在熔盐电解制备Al-Sm中间合金过程中, 熔盐表面张力越小, 则其对阳极润湿性能越好, 阳极效应不易发生, 但表面张力过小, 会影响熔盐与电解所得Al-Sm中间合金液之间的分离。因此, Na3Al F6-Al F3-Li F-Mg F2-Al2O3-Sm2O3熔盐体系表面张力应考虑上述两种因素, 选择适宜条件进行熔盐电解制备Al-Sm中间合金。
3 结论
1.在温度为905~1055℃的范围内, Na3Al F6-Al F3 (12%) -Li F (5%) -Mg F2 (5%) -Al2O3, Na3Al F6-Al F3 (12%) -Li F (5%) -Mg F2 (5%) -Sm2O3及Na3Al F6-Al F3 (12%) -Li F (5%) -Mg F2 (5%) -Al2O3-Sm2O3熔盐体系表面张力随温度的升高而逐渐降低, 而且两者为线性关系。
2.Na3Al F6-Al F3 (12%) -Li F (5%) -Mg F2 (5%) 基础熔盐体系的表面张力随着Al2O3添加量的增加而线性减少, 却随着Sm2O3添加量的增加而线性增大。
3.当加入的混合氧化物中ωAl2O3∶ωSm2O3=9∶1, 7∶3或1∶1时, Na3Al F6-Al F3 (12%) -Li F (5%) -Mg F2 (5%) 基础熔盐体系的表面张力随着混合氧化物添加量的增大而基本呈线性减小的趋势;当ωAl2O3∶ωSm2O3=3∶7时, 基础熔盐体系的表面张力却随着混合氧化物添加量的增大而出现线性增长的趋势。
4.依据表面张力与Al2O3与Sm2O3添加量及温度之间的关系, 所建立的Na3Al F6-Al F3 (12%) Li F (5%) -Mg F2 (5%) -Al2O3-Sm2O3熔盐体系表面张力的数学模型为:

在ωAl2O3为0%~10%, ωSm2O3为0%~5%, t为905~1055℃条件下使用此方程较适宜。
参考文献