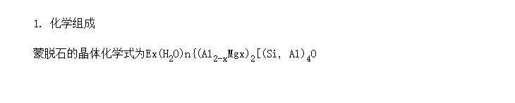
蒙脱土化学组成与晶体结构

图书来源:矿物材料与工程

作 者:余志伟

出版时间:2012-12     定 价:48元

图书ISBN:978-7-5487-0720-2

出版单位:中南大学出版社



详情信息展示

<上一页 1 下一页 >

有色金属在线官网  |   会议  |   在线投稿  |   购买纸书  |   科技图书馆

中南大学出版社 技术支持 版权声明   电话:0731-88830515 88830516   传真:0731-88710482   Email:administrator@cnnmol.com

互联网出版许可证:(署)网出证(京)字第342号   京ICP备17050991号-6      京公网安备11010802042557号